所屬科目:船用電機與自動控制(概要)
三、請利用數個 NAND 邏輯閘畫出下列布林代數之邏輯電路接線,只能使用 NAND 邏輯閘,不能使用其他邏輯閘。(20 分)
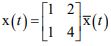
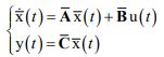
四、有一動態系統模型為。請利用相似轉換(similarity transformation)方法,將此動態系 統模型轉換為另一個新的動態系統模型:,其中兩個 動態系統模型之狀態關係為:,請求出新的動態系統模型之矩陣。(20 分)