阿摩線上測驗
登入
首頁
>
捷運◆綜合科目(數理邏輯、捷運法規及常識)
> 110年 - 110 臺中捷運股份有限公司_人員招募公開招考甄試試題_站務員(車務類)、事務員:綜合科目(數理邏輯、捷運法規及常識)#97999
110年 - 110 臺中捷運股份有限公司_人員招募公開招考甄試試題_站務員(車務類)、事務員:綜合科目(數理邏輯、捷運法規及常識)#97999
科目:
捷運◆綜合科目(數理邏輯、捷運法規及常識) |
年份:
110年 |
選擇題數:
50 |
申論題數:
0
試卷資訊
所屬科目:
捷運◆綜合科目(數理邏輯、捷運法規及常識)
選擇題 (50)
1.五位同學的身高分別為172公分、159公分、167公分、167公分、175公分,請問 身高之平均為? (A)175(B)168(C)167(D)159
2.若對數log
a
12=b,則log
a
144的值為? (A)2b(B)4b(C)6b(D)12b
3.速食店提供主餐6種,附餐2種,飲料3種,各選一種的話可以有幾種組合套餐? (A)36(B)24(C)15(D)11
4.下列何者是可以用9元和12元的兩種郵票貼出的郵資? (A)80(B)85(C)87(D)95
5.14枚硬幣中,其中13枚重量相同,另一枚比其他硬幣都輕。用天秤來找比較輕 的那枚,最少要秤幾次保證可以找到較輕的那枚? (A)2(B)3(C)4(D)5
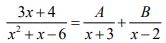
6.若平面上兩向量?
=(3a−2b,32)是向量
=(2,a+2b)的4倍,則a與b的值分別為 何? (A)a=4,b=2 (B)a = 2,b = 4 (C)a = 2,b = 2 (D)a = 4,b = 4
7.在某城市使用火車或巴士通勤的人口中,有65%的人有搭乘火車,有75%有搭 乘巴士,請問以下哪種人口比例最低? (A)僅有搭乘火車者 (B)僅有搭乘巴士者 (C)同時有搭乘火車與巴士者 (D)條件不足無法判斷
8.某社區辦抽獎活動,在抽獎箱中有100支籤,其中有30支籤是有獎的籤,由住 戶輪流抽籤,抽出後不放回,現有甲、乙兩戶搶先依序參加抽籤而丙留到最後 才抽籤,試問三人會中獎的機率? (A)甲最大(B)乙最大(C)丙最大(D)三人相等
9.平面上的兩個圓的圓周不可能交於幾個點? (A)0(B)1(C)2(D)3
10.利用長24公尺的繩子在地上圍出一個封閉區域,則圍出下列何種區域面積最 大? (A)正方形(B)長寬不等的長方形(C)圓形(D)正三角形
【已刪除】
11.如圖,若OABC-DEFG為正立方體,則下列哪一個向量在
上的正射影長最 長?
(A)
(B)
(C)
(D)
12.下列圖形中的F點為該拋物線的焦點,則何者可能為方程式(x+1)
2
=4(y-1) 的圖形? (A)
(B)
(C)
(D)
13.坐標平面上有一個圓:(x-2)
2
+(y+3)2=9,請問下列哪個點落在圓的內部? (A)(0,0) (B)(3,0) (C)(1,-4) (D)(2,1)
14.將5名實習護理師分配到3所醫院實習,每所醫院至少1人,最多2人,則有幾種不同的分配方法? (A)45 (B)60 (C)90 (D)160
15.在一個培養細菌的容器中,細菌的數目每隔1分鐘就增為2倍,已知一開始放入 一隻細菌,1小時後細菌充滿了容器,如果一開始就放入8隻細菌,請問要經過 多少時間細菌就能充滿容器? (A)57分鐘(B)30分鐘(C)15分鐘(D)7.5分鐘
16.連續45天中,最多可能出現幾個星期天? (A)5(B)6(C)7(D)8
17.設在地圖上,甲、乙、丙三地形成一三角形,且兩兩距離不相等,欲在某個地 點規劃新車站,且車站到此三地距離皆相同,試問下列何者做法正確? (A)取三中線交點 (B)取三中垂線交點 (C)取三角平分線交點 (D)取三高交點
18.九宮格裡填上數字1到9,使每一行,每一列及兩對角線的數字和皆相等,請問此 九宮格最中心的數字為? (A)3(B)5(C)7(D)9
19.有一數列的前五數是
,若依此規律請問第8個數字應為多 少? (A)
(B)
(C)
(D)
20.甲、乙兩車從不同的兩個車站同時發車,相向而行,已知甲車速度為40公里/小 時,乙車速度為50公里/小時,兩個車站之間的距離為225公里,請問經過多少 小時兩車會相遇? (A)2(B)2.5(C)3(D)3.5
21.小新在地面測量其正北方高樓樓頂的仰角為45度,接著小新往正東方沿直線移 動x公尺後,重新測得該樓樓頂的仰角為30度。已知塔高為324公尺,試求x的值 為? (A)324(B)
(C)
(D)648
22.工廠生產一批產品,已知其中有30%有瑕疵,70%沒有瑕疵。若使用機器檢測, 檢測正確的機率為
,檢測錯誤的機率為
。若某件產品經檢測後被判定為有瑕疵, 試問此產品實際有瑕疵的機率為何? (A)
(B)
(C)
(D)
23.電視臺預計連續播放5個廣告,其中包含3個不同的商業廣告以及2個不同的公益 廣告。假設首尾必須播放公益廣告,則共有多少種播放方式? (A)12(B)24(C)36(D)40
24.把數字1~9不重複的填入下圖的圓圈中,使三邊的數字總和相等,下圖已填入某 些數字,請問最上方的數字應填入多少?
(A)6(B)4(C)7(D)9
25.若坐標平面上有兩點P(3,9)-、Q(1,5),則
的垂直平分線(中垂線)方程式 為何? (A)x+ y- 6= 0 (B)x-2y+15= 0 (C)x-y+ 8= 0 (D) 2x+y-5 =0
26.如圖,ABCDE是坐標平面上的一個正五邊形,其中心與原點O重合,且頂點E 在y軸的負向。下列各直線中,斜率最大者為何?
(A)直線AB(B)直線BC(C)直線CD(D)直線DE
27.如圖,坐標平面上,依據方程式2x-2y-1=0、2x+y+2=0、2x+10y-7=0 可 畫出三條直線。試選出方程式與直線間正確的配對為何?
(A) L
1
: 2x+10y-7=0 ;L
2
: 2x+y+2=0 ;L
3
: 2x-2y-1=0 (B) L
1
: 2x-2y-1=0;L
2
:2x+10y-7=0;L
3
: 2x+y+2=0(C) L
1
: 2x+y+2=0;L
2
: 2x+10y-7=0;L
3
: 2x-2y-1=0 (D) L
1
:2x-2y-1=0;L
2
: 2x+y+2=0 ;L
3
: 2x+ 10y-7= 0
28.若
,則4A+3B之值為 何? (A)14 (B)12 (C)10 (D)8
29.下列何者為絕對值不等式|x+y|+≤2的圖解? (A)
(B)
(C)
(D)
30.某城市的鐵路共有18站,其中有5個是大站,其餘13個都是小站。已知大站與大 站之間所用的車票為紅色,小站與小站之間的車票為藍色,其餘車票則為綠色。 若往、返車票視為不同種類的車票且無起迄站相同的情形時,則綠色車票共有幾 種不同的印製結果? (A)18(B)65(C)130(D)260
31.下圖(一)中有邊相接的圓圈被塗上不同顏色,若要將圖(二)也依照「有邊相接的圓圈塗上不同顏色」之規定,最少需要幾種顏色?
(A)3(B)4(C)5(D)6
32.一張紙可隨意沿一條直線對摺形成一條摺線會把紙分隔成兩個區域。請問四條摺線最多可以把平面分隔成幾個區域? (A)8(B)9(C)10(D)11
33.甲、乙、丙、丁四人分別從不同方向看到台北101大樓,四個人看到樓頂的仰角分別是30°、40°、50°、60°。請問何者離大樓直線距離最近? (A)甲(B)乙(C)丙(D)丁
34.有一對夫妻與兒子女兒共四人,已知爸爸與兒子的年齡合起來比媽媽與女兒的年齡合起來還大,以下哪個敘述恆正確? (A)若兒子年齡比女兒大,則爸爸年齡比媽媽大 (B)若兒子年齡比女兒大,則爸爸年齡比媽媽小 (C)若兒子年齡比女兒小,則爸爸年齡比媽媽大 (D)若兒子年齡比女兒小,則爸爸年齡比媽媽小
35.一個袋子裡面有3顆白球,4顆紅球,6顆黃球,7顆綠球。每次只要拿一顆球出來,要拿幾次後才能保證取出的球中有兩顆同色? (A)5(B)6(C)7(D)8
36.以下三者,何者不是正四面體的展開圖?
(A)甲(B)乙(C)丙(D)三者都是正四面體的展開圖
37.平坦的草原上甲乙兩人面對面相向而行,此時甲看到前方向左30˚處有一棵大 樹,乙則是看到這棵樹在前方向右45˚處。試問甲乙兩人誰離此棵大樹比較近? (A)甲比較近 (B)乙比較近 (C)一樣近 (D)需要實際距離才可估算
38.一般人跑步的速度比游泳的速度快很多。如下圖的情形,岸上的救生員發現有人溺水時,沿著路線(1)(2)(3)所需的時間最少到最多依序為?
(A)(1)(2)(3) (B)(2)(1)(3) (C)(2)(3)(1) (D)(3)(2)(1)
39.已知A3的紙沿著長邊對折後裁成大小相同兩張紙時,大小恰為A4。請問A3的 紙長寬比為何: (A)3:1(B)2:1(C)
(D)
40.將厚紙板裁剪後摺出一立方體,不相鄰的兩面被塗上同一顏色如下,則將厚紙板攤開後應為下列何者?
(A)
(B)
(C)
(D)
41.於大眾捷運系統服勤之捷運警察,應受何單位指揮、監督? (A)地方主管機關 (B)警政署 (C)地方警察局 (D)捷運公司
42.大眾捷運法所定之罰鍰,由地方主管機關處罰之,然其得委託何人以機關名義為之? (A)行政院消保會 (B)消基會 (C)地方政府交通局 (D)大眾捷運系統營運機構
43.下列何者為非? (A)旅客不得於列車或車站內散發、張貼、插設或懸掛競選物品,或有拜票、聚 眾造勢意圖或行為 (B)如發現競選文宣或物品,捷運公司將依相關規定予以撤除,必要時得視同廢 棄物處置,惟需負任何損害賠償責任 (C)旅客因競選相關行為經捷運公司從業人員勸阻無效者,捷運公司得視情節依 法會同警察人員強制其離開捷運範圍,其未乘車區間之票款,不予退還。 (D)在捷運範圍內,搭乘電扶梯,握好扶手、站穩踏階,不倚靠側板
44.因列車延誤或運行中斷等情形,捷運公司對旅客有下列何項義務? (A)沒有義務,為營建廠商之責任 (B)旅客預期利益之賠償義務 (C)確保旅客仍可及時抵達目的地之義務 (D)開立誤點證明
45.因車站發生緊急事故、異常狀況或列車因故運行中斷,須疏散旅客出站時,持用單程票及紙票之旅客得於當日起算幾個日曆天內請求退還全部票價? (A)7(B)14(C)30(D)45
46.旅客欲購買50元單程票,請問下列何者敘述有誤? (A)可於加值售票機購買 (B)可於詢問處購買 (C)於購買當日營運時間內可使用 (D)於購買起的24小時內可使用
47.臺中捷運於2021/3/25起免費試乘1個月,請問哪家票證公司無法使用? (A)悠遊卡 (B)一卡通 (C)愛金卡 (D)遠鑫(有錢卡)
48.未滿幾歲的兒童,搭乘臺中捷運須由持有車票之旅客陪同? (A)6歲 (B)8歲 (C)10歲 (D)12歲
49.下列何者非臺中捷運加值售票機提供的服務項目? (A)購買單程票 (B)加值 (C)黑名單鎖卡 (D)購買電子票證卡片
50.捷運車站月台型式係依該捷運系統之場站規劃等因素而配置,請問臺中捷運綠線119高鐵臺中站月台為哪種型式呢? (A)側式月台 (B)疊式月台 (C)島式月台 (D)混合式月台
申論題 (0)
相關試卷
114年 - 114 臺中捷運股份有限公司_控制工程師甄試試題_控制工程師(行控類):數理邏輯1-25#137888
114年 · #137888
114年 - 114 臺中捷運_新進人員甄試試題_A01 站務員、A02 行控資訊員、D01 事務員:綜合科目(數理邏輯、捷運法規及常識)#137870
114年 · #137870
114年 - 114 臺北捷運公司_新進行車專員甄試試題_一般類及原住民類、常年大夜班維修類 :綜合科目(數理邏輯、捷運法規及常識)#128993
114年 · #128993
113年 - 113 臺北捷運公司_新進技術專員甄試試題_常年大夜班維修類:綜合科目(數理邏輯、捷運法規及常識)#121799
113年 · #121799
113年 - 113 臺北捷運公司_新進行車專員(一般及原住民類):綜合科目(數理邏輯、捷運法規及常識)#121787
113年 · #121787
112年 - 112 臺中捷運股份有限公司_新進人員甄試試題_站務員、技術員(常年大夜班):綜合科目(數理邏輯、捷運常識(含法規))#114083
112年 · #114083
112年 - 112 臺北捷運公司_新進隨車站務員、 常年大夜技術員、行控資訊員、站務員甄試試題_綜合科目:數理邏輯、捷運法規及常識#113079
112年 · #113079
112年 - 112 臺北捷運公司_新進司機員甄試試題_綜合科目:數理邏輯、捷運法規及常識#113078
112年 · #113078
112年 - 112 臺北捷運-新進隨車站務員、站務員、常年大夜技術員、行控資訊員_【數理邏輯、捷運法規及常識】#113077
112年 · #113077
111年 - 111 臺中捷運股份有限公司_新進人員甄試試題_站務員、事務員(車務類):綜合科目(數理邏輯、捷運法規及常識)#108144
111年 · #108144