所屬科目:機械設計
(一)螺栓牙根(root)直徑為何?[提示:牙根直徑=節圓直徑 ̶ × 0.866 p ]【3 分】
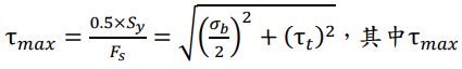
(七)若應用最大剪應力準則進行設計,所需的軸徑大小[mm]為何?【4 分】【可以參考最大剪應力公式:為最大剪應力, sy為降伏應力,FS為安全因數,σb為彎曲應力,τt為扭轉剪應力】
(一)所有銲道的總喉部面積[mm2 ]為何?[提示:喉部面積 = 銲道寬度 × 銲道長度 × 1 【6 分】
(三)銲道總極慣性矩 J[mm4 ]為何?[提示:極慣性矩 J = A ∗,其中 A 為該銲 道的喉部面積、為該銲道長度、r為該銲道與全部銲道形心的距離]【6 分】