所屬科目:工程數學(應用數學, 線性代數、微分方程、複變函數與機率)
3 考慮向量 。若 u 可分解為 u1 + u2 ,其中 u1 為 u 在 v 的投影(projection),則 u2 為何? (A) (B) (C) (D)
4 令矩陣則 的秩數(rank)為何? (A)1 (B)2 (C)3 (D)4
5 令矩陣 。下列何者不是 X 的特徵值(eigenvalue)? (A)1 (B)2 (C)-1 (D)-4
7 令 則矩陣函數 的像空間(image space)維度為何? (A)1 (B)2 (C)3 (D)4
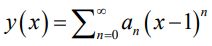
8 考慮初始值問題 。若 為此微分方程式的級數解, 則係數 a2 為何值? (A)-2 (B)-1 (C)0 (D)
9 李卡地方程式(Riccati equation) 可利用下列何種公式轉換為以 u 為未知數的線性微分方程式?(A) (B) (C) (D)
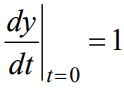
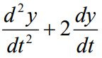
10 一 微分方程式 的起始條件分別為 y ( 0 ) = -1 及 y' ( 0 ) = 6 , 其解 為 ,試問下列何者不正確? (A) a = -1 (B)b = 3 (C) (D)
11 令 f ( t ) = cos ( π t ) δ ( t - 1),其中δ( t )為脈衝函數 (impulse function), f ( t ) 的拉氏轉換 (Laplace transform)為何? (A) (B) (C) (D)0
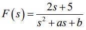
12 某函數 ,對應的拉氏轉換為 , A, B , a , b 為實數。 b/a 為何值? (A)5 (B)2 (C)1 (D) 0.4
13 一 微 分 方 程 式 y'' + 4 y = f ( t ) , 其中, 其起始條件分別為 y ( 0) = 1 及y'( 0) = 0 ,其解為 y ( t ) = cos ( at ) + b(c - cos ( d ( t - 4 ) )) H ( t - 4 ),其中 H(t)是 Heaviside 或 unit step 函數,試問下列何者不正確? (A)a=2 (B)b = (C) c =1 (D)d =2
14 一函數 f ( t ) = 5[ H ( t - 3 ) - H ( t - 11) ]其中 H(t)是 Heaviside 或 unit step 函數,其傅立葉轉換(Fourier Transform)為 ,試問下列何者不正確? b (A) a = 10 (B)b =1 (C) c = -7 (D)d =4
15 給定一複變函數(complex function) ,則此函數在 z = 0 的殘餘數(residue)為何? (A)0 (B)1 (C) -i (D)i
16 考慮複變函數,若 C 為逆時針方向繞圓周 ︱z - 0.5i︱ = 1 的路徑。則線積分 為下列何值? (A) 2π i - π sin ( i ) (B) -2π i + π sin ( i ) (C) 2π i (D) -2π i
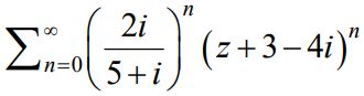
17 找出複變函數級數 的收斂半徑。 (A) √26 (B) (C) √13 (D)
18 設 X 為一連續隨機變數,其機率密度函數(probability density function)為 。 若 X 的變異數(variance)為 4,則 值為何? (A)2√3 (B)3√3 (C)4 (D)4√3
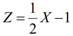
19 設 X 為一具有常態分布(normal distribution)的連續隨機變數,其平均值(mean)為 1,標準差(standard deviation)為 2。若將其標準化為平均值為 0,標準差為 1 的標準常態分布(standard normal distribution),對應的隨機變數為 Z。則 X 和 Z 的關係式為何? (A) (B) (C) (D) Z = ( X - 1)
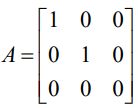
(二)求 A5 + A4 - 4 A3 +4 A2 - 4 A + 4 I , 其中 I 為單位矩陣。
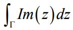
三、令,求 (其中 Im ( z ) 代表複數 z 的虛部(imaginary part))
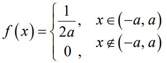
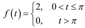
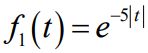
(一)求函數 的傅立葉轉換(Fourier transform)。
(二)求函數的傅立葉轉換(Fourier transform) 。