一、利用拉氏轉換(Laplace transform)求解。
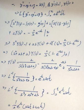
2 y =f ( t ) ,
, y ( 0 ) = 0,
2 y =f ( t ) ,
, y ( 0 ) = 0, 
詳解 (共 2 筆)
詳解

詳解
個人見解,不確定是否正確。