所屬科目:機械設計
一、有一馬達重量為 25 kN,在馬達上方需設計一環首螺栓(eye bolt)作為 安裝吊掛之用,若選用之螺栓強度等級為 8.0(抗拉強度 Su=1034.3 MPa、 降伏強度 S y=894.6 MPa)且設計時之安全係數為 5.0,試求應選用 之 螺 栓 尺 寸 規 格 、 最 少 之 鎖 入 螺 牙 數 ? ( ISO 螺 絲 螺 牙 根 部 直 徑 d r =d-2×0.54127p,d 為公稱直徑、p 為螺距)(20 分)
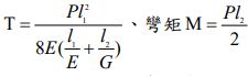
二、如圖所示之ㄇ形桿件於 A 及 D 點焊接於垂直牆面上,若已知靜態負載 P在 A 及 D 點分別產生之扭矩為 T ,其中P=1000 N、l1=1 m、l2=0.25 m、d=40 mm。設此桿件材料之抗拉強度為 500 MPa、降伏強度為 400 MPa、楊氏係數 E=210 GPa、剪力模數 G=80.8 GPa,試分別以最大剪應力理論、畸變能理論(distortion energy theory) 計算此桿件在 A 點之設計安全係數。 (20 分)
三、有一 SAE1040 冷拉鋼之材料桿件,其材料抗拉強度為 550 MPa、降伏強 度為 490 MPa,承受一軸向之拉伸疲勞變動負載= 500 N。若材料之耐久限(endurance limit)為 210 MPa,且桿件上無應力 集中,設計時之安全係數為 2.0,則當桿件設計壽命為 105 次負載循環 下,求其所需之桿件截面積大小。(20 分)
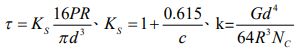
四、有一螺旋壓縮彈簧,鋼絲直徑 4.0 mm、平均螺旋半徑 14.0 mm、總螺旋 圈數 8 圈,彈簧兩端為磨平(ground,總共無效圈數為 1.0) ,承受靜態 負載大小為 450 N。若鋼絲之抗拉強度 Su= 1400 MPa 且拉伸降伏強度 Sy、剪力降伏強度 與 Su 比值:Sy/Su=0.60、=0.40,剪力模數為 79.5 GPa,試求此彈簧使用下之安全係數及此彈簧之彈簧常數。 (可能用到之公式提示: )(20 分)
五、有一旋轉機械上每一圈迴轉軸之扭矩輸出如圖所示,軸之轉速為 60 rpm, 若軸之動力由一固定扭矩之馬達所帶動,且不計機械之其他動力損失, 試求以能量平衡之觀點所需選用馬達之功率。另外,若軸上欲控制轉速 變動係數(coefficient of fluctuation)低於 0.20,則所需之鐵製平板飛輪 的外徑應為多少?飛輪鐵材厚度為 200 mm,質量密度為 7680 kg/m3。 (20 分)