阿摩線上測驗
登入
首頁
>
藥物分析與生藥學(包括中藥學)
> 110年 - 110 高等考試_三級_藥事:藥物分析與生藥學(包括中藥學)#102604
110年 - 110 高等考試_三級_藥事:藥物分析與生藥學(包括中藥學)#102604
科目:
藥物分析與生藥學(包括中藥學) |
年份:
110年 |
選擇題數:
0 |
申論題數:
11
試卷資訊
所屬科目:
藥物分析與生藥學(包括中藥學)
選擇題 (0)
申論題 (11)
一、根據國際協調會議(ICH)準則,精密度的定義為何?精密度可用那三 個層次來表現?試說明其要義。(10 分)
二、秤量一含有 aspirin、paracetamol、codeine phosphate 的錠劑磨成粉末,取 定量粉末 0.1228 g 與 1 mL 含有 8 mg 內部標準品 t-butanol 的氘化甲醇 混合震盪 5 分鐘後過濾並移至 NMR 管進行 NMR 光譜測定。結果測得 t-butanol 的甲基之波峰面積 7.2,aspirin 的甲基之波峰面積 5.65, paracetamol 的甲基之波峰面積 6.73,codeine phosphate 的甲基之波峰面 積為 0.115。t-butanol、aspirin、paracetamol、codeine phosphate 的分子量 分別為 74.1、180.2、151.2、397.4。請列式表示如何計算錠劑中 aspirin、 paracetamol、codeine phosphate 的實際含量。試說明本定量方法的原理與 優缺點。(20 分)
三、試針對下列五種常用的高效液相層析固定相,包括十八碳矽烷矽膠 (ODS) 、辛烷矽膠、苯基矽烷矽膠、胺丙烷基矽膠、兩性離子親水性交 互反應液相層析材料等,探討其主要作用機制、作用力與適合之分析物 等各項分析特質。(20 分)
(一)畫出典型三種五環三萜類(pentacyclic triterpenoids)之骨架類型與其 骨架名稱。 (6 分)
(二)每類各舉出兩例含有前述該骨架類型三萜類之生藥學名及其成分名 稱。 (12 分)
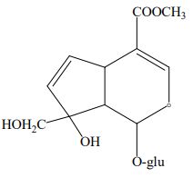
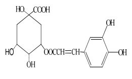
五、請寫出四個含有 C-glycoside 的生藥學名及其成分名稱。(12 分)
六、苦杏仁為 Prunus armeniaca L.之種子,含有苦杏仁苷(amygdalin) ,在大 劑量口服時會引起中毒,嚴重者甚至會死亡。請以結構式及化學方程式 完整說明苦杏仁苷在酵素(名稱)及酸作用下為何會引起中毒?(8 分)
A.
B.
C.
D.
相關試卷
114年 - 114 高等考試_三級_藥事:藥物分析與生藥學及藥劑學#128475
114年 · #128475
114年 - 114 關務特種考試_三等_藥事(選試英文):藥物分析與生藥學(包括中藥學)#126573
114年 · #126573
113年 - 113 高等考試_三級_藥事:藥物分析與生藥學及藥劑學#121261
113年 · #121261
113年 - 113 關務特種考試_三等_藥事(選試英文):藥物分析與生藥學(包括中藥學)#119498
113年 · #119498
112年 - 112 公務升官等考試_薦任_藥事:藥物分析與生藥學(包括中藥學)#117126
112年 · #117126
112年 - 112 高等考試_三級_藥事:藥物分析與生藥學(包括中藥學)#115484
112年 · #115484
112年 - 112 關務特種考試_三等_藥事:藥物分析與生藥學(包括中藥學)#113892
112年 · #113892
111年 - 111 高等考試_三級_藥事:藥物分析與生藥學(包括中藥學)#109538
111年 · #109538
111年 - 111 關務特種考試_三等_藥事:藥物分析與生藥學(包括中藥學)#107617
111年 · #107617
110年 - 110 公務升官等考試_薦任_藥事:藥物分析與生藥學(包括中藥學)#103728
110年 · #103728