所屬科目:教甄◆資訊科技概論專業(電腦科)
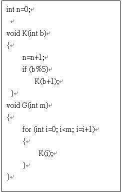
10.若以G(100)呼叫下列函式後,n的值為?
(A) 100 (B) 250 (C) 300 (D) 352
6.有一程式碼如下列,若輸入數字 9,得到的輸出為__________
7.有一張圖如下,若各區域間以邊接觸才算相鄰,以點接觸,不算相鄰,則若要相鄰的區域顏色不同,最少要使用________ 種顏色?
3.試以普通型高級中等學校,科技領域必修或選修課程為例(參考附件2及附件3),設計任一主題之兩節課程教學簡案。
4.承上題,試以上題之教案內容,說明學生在學習內容與學習表現之多元評量方式(簡述之),並設計評量規準(如下表),作為評量學生多元學習表現之標準,並試舉例各等級學生可能的答題樣態。(參考附件1-3)