所屬科目:統測◆03電機與電子群電機類◆(二)電工機械、電子學實習、基本電學實習
4. 如圖(一)所示之鐵心磁滯迴線,其中垂直軸代表磁通密度( B ),水平軸代表磁場強度( H ), 下列敘述何者正確? (A) a 點代表最大剩磁 (B) b 點代表鐵心工作所需最小磁通密度 (C) c 點代表矯頑磁力 (D) abcdefa各點所圍成的面積愈大代表磁滯損失愈小
14. 有一鐵心磁路上繞有線圈N 為200匝,如圖(二)所示, ϕ 為均勻分布於磁路之磁通,磁路 中有一氣隙,其長度為 2.0 mm。 假設鐵心磁路之導磁特性為理想,線圈無漏磁,並忽略氣隙之邊緣效應,且空氣之導磁係數為H / m。 若外加之線圈電流I為5A,則磁路 之磁通密度為何? (A) 0.325 T (B) 0.625 T (C) 0.925 T (D) 1.225 T
17. 一台 6 極、 、 60 Hz、 50 hp 三相感應電動機,在滿載及功率因數為 0.85 的情況 下,定子線電流為60 A,其效率約為何? (A) 88.0 % (B) 86.5 % (C) 85.1 % (D) 82.5 %
18. 一台 6 極、 220 V、 60 Hz、 15 hp 三相感應電動機,滿載轉差率 S 為 5 %,若同步角速度為、滿載轉速為,則下列何者正確? (A) (B) (C) (D)
24. 一台3 / 4 hp、 110 V、 60 Hz 單相電容起動式感應電動機,主繞組的阻抗為( 3.3 + j 4.4 ) Ω, 輔助繞組的阻抗為 ( 8 + j 3 ) Ω,欲使主繞組電流與輔助繞組電流相差 90°相位角,則起動電容器之容量應為何? ( ) (A) (B) (C) (D)
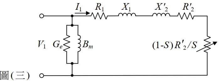
29. 如圖 ( 三 ) 所示之三相感應電動機每相近似等效電路,若最大電磁轉矩產生時的轉差率為 STmax,則下列何者正確? (A) (B) (C) (D)
32. 如圖(四)所示之110V/220V電容起動式單相感應電動機極性測試接線, M1、 M2與M3、 M4 分別為兩個行駛( 主 ) 繞組之端子, S1、 S2 為起動繞組之端子,起動繞組與行駛繞組空間上 彼此互隔 90° 電機角, SW 為離心開關, C 為起動電容, V1與V2為指針式直流電壓表,則 於按下按鈕開關( PB )後, 觀察導通瞬間之電壓表指針變動,下列敘述何者正確? (A) V1順時針偏轉一下後回到0 V (B) V1順時針偏轉至3 V之後靜止 (C) V1逆時針偏轉一下後回到0 V (D) V1不偏轉
33. 單相變壓器以交流法做極性測試時, AC電源接於高壓側,下列接線何者正確? (A) (B) (C) (D)
37. 如圖(五)所示同步電動機之凸極轉子具有激磁繞組(F1、 F2為激磁繞組之端子)與阻尼繞組, PF 為功率因數表,當同步電動機做負載特性實驗時,下列敘述何者正確? (A) 起動同步電動機時須按下按鈕開關( PB ),以避免阻尼繞組感應電壓過高 (B) 當轉速達75 %的同步轉速時,放開按鈕開關( PB ), 轉子激磁繞組由直流電源( DC)激磁 (C) 改變激磁電流,記錄電樞電流與功率因數之變化 (D) 將同步電動機之磁粉制動器設為定轉矩模式
38. 如圖 ( 六 ) 所示做交流同步發電機 SG2 與 SG1 並聯前之同步檢測,若 L1、 L2、 L3 三個燈泡皆熄滅, 表示兩發電機為: (A) 相序相同,頻率相同,電壓大小相同,相位相同 (B) 相序相同,頻率稍異,電壓大小稍異,相位稍異 (C) 相序不同,頻率相同,電壓大小相同,相位相同 (D) 相序不同,頻率相同,電壓大小稍異,相位稍異
40. 一台4極、 21槽之直流電機,每槽置放2個線圈邊,線圈採單分、雙層、前進疊繞、短節距 方式繞製,下列敘述何者錯誤? (A) 前節距槽 (B) 換向片距槽(片) (C) 後節距槽 (D) 線圈節距電機角
43. 如圖 (七 )所示之三相感應電動機以 Y 接做堵住實驗,若電壓表顯示 30 V,電流表顯示15A,瓦特表W1顯示390 W, W2顯示0W,則下列何者正確? (A) 磁粉制動器為定轉速模式 (B) 額定電流為15 A,鐵損為390W (C) 堵住時之功率因數約為0.5滯後 (D) 每相之短路阻抗約為2 Ω
45. 如圖 ( 八 ) 所示三相感應電動機定子繞組為 Y 接,電源相序為 A- B- C,若此接線使電動機反轉,則下列何種接線使電動機正轉? (A) (B) (C) (D)
46. 如圖(九)所示,其中F1、 F2 為激磁繞組之端子。進行三相同步發電機之開路與短路測試, 下列敘述何者正確? (A) 起動發電機前,將R1調至最小值, SW1不可閉合 (B) 起動發電機前,將電阻R2調至最小值 (C) 作短路測試時, SW2短路,將磁粉制動器設為定轉矩模式 (D) 作開路測試時, SW2開路,開路特性曲線近似一直線
50. 三相同步發電機,每相電樞串聯匝數為 42匝,每極磁通量為 0.025韋伯(Wb ),轉速為3600 rpm, 下列何者正確?(A) (B)(C) (D)