所屬科目:統測◆03電機與電子群電機類◆(二)電工機械、電子學實習、基本電學實習
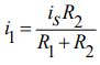
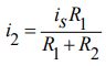
4.如圖(一)所示之電路,下列何者錯誤?(A)V1=V2 (B)(C)(D)
5.如圖(二)所示之電路,下列何者錯誤? (A)v1=40V (B)=5A (C)=1A (D)=4A
6.若實驗時找到一顆電容器如圖(三),對此元件的敘述,下列何者錯誤? (A)電容值為100μF (B)為陶瓷電容器 (C)最大工作耐壓為100V (D)短腳為負極
9.有關諧振電路實驗的敘述,下列何者錯誤? (A)RLC串聯諧振電路產生諧振時阻抗最小 (B)RLC並聯諧振電路產生諧振時阻抗最大 (C)RLC串聯諧振電路產生諧振時的電源頻率稱為諧振頻率 (D)RLC並聯諧振電路產生諧振時諧振頻率
13.有關交流電源的敘述,下列何者錯誤? (A)交流電源單相三線式簡寫為1Φ3W (B)1Φ3W交流電源可提供110V與220V電壓 (C)三相交流電源各相差60° (D)多相電源適用於需要大功率的電力系統
24.雙極性NPN型電晶體操作在工作區時集極電流隨變動的原因, 下列何者正確? (A)變大,集極有效寬度變小 (B)變大,集極有效寬度變大 (C)變大,基極有效寬度變小 (D)變大,基極有效寬度變大
27.有關操作在飽和區的MOSFET,下列敘述何者正確? (A)可用控制 (B)可用控制 (C)可用控制(D)可用控制
39.若CMOS反相器的,則雜訊邊限為何? (A)1V (B)2V (C)2.5V (D)3V