所屬科目:學士後◆化學
8. Choose the valence orbital diagram that represents the Si. (A)(B) (C)(D) (E)
11. Draw the Lewis structure for including any valid resonance structures. Which of the following statements is TRUE? (A) The nitrite ion contains one N-O single bond and one N=O double bond. (B) The nitrite ion contains two N-O bonds that are equivalent to 1.5 bonds. (C) The nitrite ion contains two N=Odouble bonds. (D) The nitrite ion contains two N-O single bonds. (E) None of the above are true.
12. Place the following in order of decreasing X-A-X bond angle, where A represents the central atom and X represents the outer atoms in each molecule. (A) (B) (C) (D) (E)
13. Draw the Lewis structure for . What is the hybridization on the Br atom? (A) sp3d2 (B) sp3d (C) sp3 (D) sp2 (E) sp
18. Consider the following reaction at equilibrium. What will happen if we add more SO3 in the system? SO2(g)+NO2(g)⇌ SO3(g)+NO(g) (A) The reaction will shift in the direction of products. (B) The reaction will shift to decrease the pressure. (C) No change will occur since SO3 is not included in the equilibrium expression. (D) The reaction will shift in the direction of reactants. (E) The equilibrium constant will decrease.
19. Which Br Φnsted-Lowry acid is not considered to be a strong acid in water? (A) HI (B) HBr (C) H2SO3 (D) HNO3 (E)HCI
21. When titrating a weak monoprotic acid with NaOH at 25℃, the (A) pH will be less than 7 at the equivalence point. (B) pH will be equal to 7 at the equivalence point. (C) pH will be greater than 7 at the equivalence point. (D) titration will require more moles of base than acid to reach the equivalence point. (E) titration will require more moles of acid than base to reach the equivalence point.
26. How many chiral centers are there in the following molecule? (A) 4 (B) 5 (C) 6 (D) 7
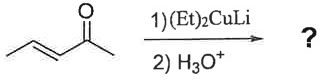
29. Predict the major product of the following reaction: (A) (B) (C) (D)
30. Which reagent(s) are necessary to carry out the following reaction ?(A) (B) (C) (D)
32. Choose the possible process to produce Isobutylbenzene.(A) (B) (C) (D)
33. Which is major product of following reaction? (A) (B) (C) (D)all of the above is incorrect.
34. Please order following compounds with aromaticity.(A) (B) (C) (D)
35. Which process of following reaction is incorrect ?(A) (B) (C) (D)all of the above is correct.
36. There is a IR absorption at 1747 , what structure would you expect?(A) (B) (C) (D)
37. Which is major product of following reaction ?(A) (B) (C) (D)(E)一律送分
38. Identify the reagents of the following transformation: (A) 1) Excess NH3 2) LAH 3) H2O (B) 1) Excess NH3 2) NaOH, heat 3) H3O+ (C) 1) Excess NH3 2) SOCI2 (D)1) NaCN 2) LAH 3) H2O
39. Predict the major product of the following reaction:(A) (B) (C) (D)
40. Predict the major product of the following reaction:(A) (B) (C) (D)
41. Which of the following reactions is not correct ?(A) (B) (C) (D)
42. Predict the product of the following reaction:(A) (B) (C) (D)
43. Predict the product of the following reaction:(A) (B) (C) (D)
44. Identify the reagents and products of the following transformation:(A) (B) (C) (D)
45. Predict the products of the following reaction:(A) (B) (C) (D)
46. Predict the product of the following reaction:(A) (B) (C) (D)
47. Identify the reagents of the following transformation:(A) (B) (C) (D)
48. Which compound can not undergo an E2 reaction ?(A) (B) (C) (D)
49. Which of the following reactions is correct ?(A)1、2 (B)1、4 (C)3、4 (D)2、3
50. Assign R or S configuration in the following molecules.(A)A=R;B=S (B)A=S;B=S (C)A=S;B=R (D)A=R;B=R