所屬科目:高中指考◆數學甲
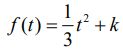
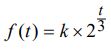
1.甲國某傳染病大流行時,經統計發現高峰期間「染病人數每三天增加一倍」。用 f(t)表示從t=0開始,染病人數隨時間t變化的函數,並假設f(0)=k(k為正整數)。若t以天為單位,試選出可以代表甲國於高峰期間染病人數的函數模型。 (A)(B)(C)(D) (E)
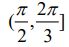
2.在△ABC中,若2sinA=3sinB=4sinC,則∠A的弧度量在下列哪一個區間內? (A)(B)(C) (D)(E)
4.下表是某國在2009年至2015年間,運動選手的人數統計:關於該國運動選手的敘述,試根據這張表選出正確的選項。(A)從2009年到2015年,男運動選手增加的總人數比女運動選手增加的總人數多 (B)從2009年到2015年,平均一年增加了580名男運動選手(C)從2009年到2015年,每一年男女運動選手人數的差距都超過 1000名(D)如果分別計算男女運動選手人數對年份的最適直線(迴歸直線 ),則男生的直線斜率小於女生的直線斜率(E) 在 2009年 到 2015年共7年中,該國平均一年有超過 6000名運動選手
5.坐標平面上有一以原點O為圓心的圓C,交直線x-y+1=0於Q,R兩點。已知圓C上有一點P使得△PQR為正三角形,試選出正確的選項。 (A)O與P皆在的中垂線上 (B)P在第三象限 (C)的中點坐標為 (D)圓C的方程式為x2+y2=2 (E)圓C在P的切線方程式為x-y-1=0
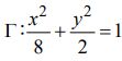
6.橢圓以原點為旋轉中心,逆時針旋轉θ角後,得新的橢圓Γ'。若橢圓Γ'的對稱軸為x+y=0與x-y=0,試選出可為橢圓Γ'方程式的選項。 (A)6x2+5xy+6y2=8 (B)6x2-5xy+6y2=8 (C)6x2-5xy+6y2=28(D)5x2+6xy+5y2=16(E) 5x2-6xy+5y2=16
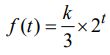
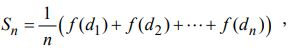
8.設f(x)=3x2,並定義數列〈Sn〉如下:對每一個正整數n,將區間[0,2]分割成n等分,且在區間中任取一數dk(k=1,2,...,n),並令 試選出正確的選項。 (A) f (x) 在區間 [0,2] 的所有函數值之平均為 8 (B) S1< S2(C) 0≤ S5≤6 (D) 數列〈Sn〉的每一項都是 f (x ) 在區間 [0,2] 上的黎曼和 (E) 數列〈Sn〉一定收斂,且
12.試問下列哪些點會在衛星的軌道上?(多選,2分) (A) (B)(2,1,1) (C)(D) (E)
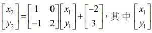
9.在坐標平面上,定義一個坐標變換 代表舊坐標, 代表新坐標。若舊坐標為的 點 P 經此坐標變換得到的新坐標為, 則數對 ( r, s )= ()。
10.某甲的學校合作社,販售三明治有鮪魚、肉鬆、火腿與起司共四種,某甲每天到合作社買一個三明治當早餐,但他不會連續兩天買相同口味的三明治吃。已知某甲這個星期一買的是鮪魚三明治,則他從星期一至星期五把這四種三明 治都吃過的方法有種。
11.在所有滿足的複數z中(其中為z的共軛複數,),的最小值為 。(化成最簡分數)
15. 試求此立體Γ的底面面積。 (4 分 )
17.試證:當0≤x≤恆成立。(6分)