所屬科目:機械設計
(一)
(二)
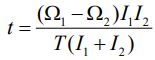
三、如下圖所示之圓盤離合器,其正要嚙合前兩軸之轉速分別為 Ω1 和 Ω2,兩 軸轉動之慣性矩分別為 I1 和 I 2 。若 Ω1 大於 Ω2 ,則離合器嚙合開始時右方的轉軸開始加速。假設離合器嚙合過程發生滑動並產生固定的扭矩 T, 試推導離合器自嚙合開始至使兩軸達到相同轉速為止所需的時間為 。
四、尺 寸 380 × 380 mm 之均勻薄鋼板 , 楊氏模數E = 207 GPa , 普松比 (Poisson’s ratio) v = 0.3 ,降伏強度 = 400 MPa ,鋼板的四個邊緣承受 均勻之正應力並處於平衡,在法線為 x 方向的邊緣受拉應力 ,而法線為 y 方向之邊緣受壓應力 。若受應力後鋼板的 y 方向長度減小了 0.2 mm, 依據最大剪應力破壞準則下之安全係數 n = 2.0 ,求 和 。