所屬科目:工程數學(應用數學, 線性代數、微分方程、複變函數與機率)
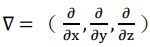
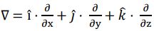
(一)請求出的散度(divergence) ,也就是∇ ⋅ ,其中∇ = (亦 可寫為∇ = ı̂ ,其中的分別為坐標軸的x-軸、y-軸、z-軸方向的單位向量) 。
(二)請求出的旋度(curl),也就是∇ ×。
(四)∇ ×( ∇ × ) =?
(一)我們以來代表A的反矩陣(inverse matrix) ,那麼 =?(5 分)
(二)我們將f(i)寫成f(i) = α + i ⋅ β (i =),那麼α =?β =?
(三)如果我們用C來表示在複數平面上的單位圓(也就是x2 + y2 = 1)上面 以逆時針方向從z = 1開始繞一圈走回原出發點,那麼=?
(四)如果我們用K來表示在複數平面上以(x − 1)2 + (y − 1)2 = 1所描述的 圓上面以逆時針方向從z = 1開始繞一圈走回原出發點,那麼 =?