阿摩線上測驗
登入
首頁
>
工程數學(應用數學, 線性代數、微分方程、複變函數與機率)
>
111年 - 111 調查特種考試_三等_電子科學組:工程數學#110329
> 申論題
題組內容
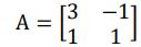
三、請考慮一個 2 × 2 矩陣,如下所示:
(三)請證明A為不可對角化(not diagonalizable)。(10 分)
相關申論題
(一)請求出的散度(divergence) ,也就是∇ ⋅ ,其中∇ = (亦 可寫為∇ = ı̂ ,其中的分別為坐標軸的x-軸、y-軸、z-軸方向的單位向量) 。
#472448
(二)請求出的旋度(curl),也就是∇ ×。
#472449
(三)∇ ⋅( ∇ × )=?
#472450
(四)∇ ×( ∇ × ) =?
#472451
(一)本微分方程式是否可以歸類為二階的線性微分方程式(second-order linear differential equation)?(5 分)
#472452
(二)請寫出此微分方程式之齊次解(homogeneous solution)的一般形式 (general form)。(7 分)
#472453
(三)請求解此微分方程式之特定解(particular solution) 。(8 分)
#472454
(一)我們以來代表A的反矩陣(inverse matrix) ,那麼 =?(5 分)
#472455
(二)我們以det(A)來代表A的行列式(determinant) ,那麼det(A) =? (5 分)
#472456
(一)C =?
#472458
相關試卷
114年 - 114 專技高考_電機工程技師:工程數學(包括線性代數、微分方程、複變函數與機率)#133679
114年 · #133679
114年 - 114 專技高考_電子工程技師:工程數學(包括線性代數、微分方程、向量分析、複變函數與機率)#133677
114年 · #133677
114年 - 114 調查特種考試_三等_電子科學組:工程數學#129578
114年 · #129578
114年 - 114 國家安全情報特種考試_三等_電子組(選試英文):工程數學#127780
114年 · #127780
113年 - 113 專技高考_電子工程技師:工程數學(包括線性代數、微分方程、向量分析、複變函數與機率)#123976
113年 · #123976
113年 - 113 專技高考_電機工程技師:工程數學(包括線性代數、微分方程、複變函數與機率)#123971
113年 · #123971
113年 - 113 調查特種考試_三等_電子科學組:工程數學#122110
113年 · #122110
113年 - 113 身心障礙特種考試_三等_電力工程:工程數學#119517
113年 · #119517
112年 - 112 地方政府特種考試_三等_電力工程、電子工程:工程數學#118376
112年 · #118376
112年 - 112 專技高考_電機工程技師:工程數學(包括線性代數、微分方程、複變函數與機率)#117639
112年 · #117639