所屬科目:微處理機
19.將布林代數式F(W,X,Y,Z)=Σ(5,12,13,14,15)化簡之後,其 SOP(SumofProduct)最簡式為何? (A) (B) (C) (D)
22.有一個編碼器有26個輸入端,則其輸出端應該有幾條輸出線? (A)5條 (B)6條 (C)26條 (D)條
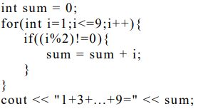
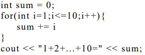
27.下列C++程式何者能正確執行? (A)(B)(C)(D)
28.有關下列C++程式的執行結果,何者正確? (A)6 (B)12 (C)24 (D)48
29.執行下列程式後,若將陣列A之值由A[0]至A[4]列出,並使用逗點分隔元素,何者正確? (A)2,3,4,5,7 (B)3,7,2,5,4 (C)4,5,2,7,3 (D)7,5,4,3,2
31.下列何者數值填入程式碼「______」中,能使程式執行結果為Correct? (A)9 (B)10 (C)11 (D)21
32.下列為定義一個員工類別,程式功能為計算月薪,若有一位員工 Amy,其員工編號為10,時薪為180,時數為40,則在main()中使用該員工類別,下列何者程式正確? (A)(B)(C)(D)
33.下列程式執行後所輸出的值為何? (A)64 (B)256 (C)1024 (D)4096
34.下列程式執行後所輸出的值為何? (A)20,20,30,10 (B)20,20,30,30 (C)20,10,30,30 (D)20,10,30,10
36.下列何者填入程式碼「_____」中,能使程式執行結果為"分數為90分"? (A)ptr (B)&ptr (C)&score (D)*ptr
37.下列程式片段執行後,輸出為何? (A)2712172227 (B)261014182226 (C)25811141720232629 (D)246810121416182022242628
40.下列程式無法正確輸出"低"、"中"、"高",則下列哪一個修改方式能正確輸出? (A)需要將i<=50修正為i<50 (B)需要將i<=50修正為i<50,以及將50<=i<=75修正為i>=50&& i<=75 (C)需要將i<=50修正為i<50,以及將50<=i<=75修正為50<i<=75 (D)需要將i<=50修正為i<50,以及將50<=i<=75修正為i<50&& i<=75