所屬科目:技檢◆一般手工電銲-單一級
8. 一般手工電銲電銲條織動之寬度以不超過銲條芯線直徑的_____倍為宜。(A)7(B)3(C)5(D)9
13. 銲接符號 是表示斷續角銲各間斷距離為(A)200 公厘(B)100 公厘(C)150 公厘(D)50 公厘。
25. CNS E4916 為高張力鋼電銲條,乾燥溫度為_____ ℃。(A)150~250(B)300~400(C)100~150(D)50~100
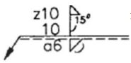
31. 銲接符號 表示箭頭對邊銲道有效喉深為(A)5 公厘(B)6 公厘(C)15 公厘(D)10 公厘。
32. 無墊板對接銲時,正確銲根間隙約為_____公厘。(A)4~6(B)2~4 (C)8~10(D)6~8
35. 如下圖,你知道這是什麼標章嗎?(A)節能標章(B)環保標章(C)省水標章(D)奈米標章。
42. 如下圖,你知道這是什麼標章嗎?(A)奈米標章(B)省水標章(C)環保標章(D)能源效率標示。
55. V 型槽無墊板對接,如間隙預留 2 公厘,為得良好之滲透,第一道使用之電銲條直徑為_____公厘最佳。(A)5.0(B)3.2(C)6.0(D)4.0
70. 邊緣接頭對接縫而言仍屬(A)V 形(B)I 形(C)K 形(D)J 形。
72. 公英制長度單位換算中,1 公厘等於_____吋。(A)0.3937(B)3.937(C)39.37(D)0.03937
76. 在箭頭邊銲接的符號應為下列何者(A) (B) (C) (D) 。