所屬科目:(1)政府採購法 (2)電機、空調工程理論與實務
35.某直流串激式電動機,若忽略磁飽和, 為電樞電流, 為電磁轉矩, k1為常數,下列何者正確? (A)(B)(C)(D)
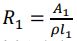
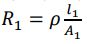
36.某導線的長度為l1、截面積為A1、電阻係數為ρ,有關導線電阻R1的計算公式,下列何者正確?(A)(B)(C)(D)
41.激磁繞組式三相同步發電機,轉子具有凸極效應, ?d表示與磁場方向平行的 d 軸電感抗,??表示與磁場方向 垂直軸的 q 軸電感抗,則下列敘述何者正確? (A)相等 (B) (C)(D)
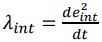
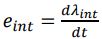
43.有關法拉第定理的方程式,若為感應電壓(induce voltage)、為磁通鏈(flux linkage)、表示時間微分式, 下列何者正確?(A)(B)(C)(D)
48.某單相負載電壓,負載阻抗為(5+j5)Ω,則穩態時負載電流為何? (A) 40sin(377t+45°)A (B) 40sin(377t–45°)A (C)(D)
50.假設某電阻器在 20oC 其電阻值為 10Ω、電阻溫度係數為,在溫度為 120oC,其電阻值為何? (A) 14Ω (B) 13Ω (C) 12Ω (D) 11Ω
51.某單相負載之端電壓 = 200∠0°V(有效值)、負載電流 = 10∠ − 30°A(有效值),有關功率因數的計算, 下列何者正確? (A)功率因數為 0.866,領前 (B)功率因數為 0.866,落後 (C)功率因數為 0.5,領前 (D)功率因數為 0.5,落後
52.某單相負載的端電壓有效值為 200V,負載電流有效值為 20A,若負載的功率因數為 0.8 落後,則負載的實功 率(平均功率)及虛功率為何? (A)(B) (C) (D)
55.某單相變壓器的額定為 660 kVA、3.3 kV:440 V,用三個此種單相變壓器組合為三相變壓器,高壓側為 Y 接線,低壓側為△接線,此三相變壓器的高壓側的額定線電壓、低壓側的額定線電壓、高壓側的額定線電流、 低壓側的額定線電壓,下列何者正確? (A) (B)(C) (D)
76. 20CMM、32℃(DB)、80%RH 之室外空氣與 80CMM、25℃(DB)、60%RH 之室內空氣混合,其混合後的溫度 (DB)為何? (A) 26.4℃ (B) 28.6℃ (C) 30.6℃ (D) 32.4℃