所屬科目:研究所、轉學考(插大)-微積分
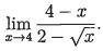
1. Evaluate the limit.
2. Find the point on the curve y = that is closest to the point (1,0).
3. If f(x) =
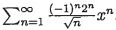
5. Find the radius of convergence and interval of convergence of the power series .
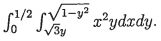
8. Evaluate the integral
9. Evaluate ∫c F ⋅ dr, where F = and C is the unit circle x² + y² = 1.
10. Evaluate ∬s F ⋅ dS, where F(x,y,z) =+ (x²y + cosh z)j + (y²z + x)k and S is the top half of sphere x² + y² + z² = 1.