所屬科目:電力電子學
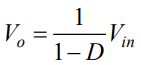
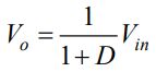
1.則輸入電壓 Vin與輸出電壓 Vo的關係為何? (其中 D 為責任週期)(A) (B)(C) (D)
2.承第 1 題,升壓型轉換器操作在 CCM,輸入電壓 Vin=120V,責任週期 D=0.7,則輸出電壓為何? (A) 400 V (B) 280 V (C) 90 V (D) 70 V
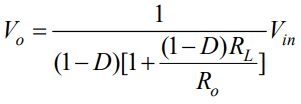
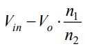
3.承第 1 題,假設電感 L1的阻抗為 RL,則輸入電壓 Vin與輸出電壓 Vo的關係為何?(A)(B) (C) (D)
4.承第 3 題,當電感 L1的 RL增加時,假設 Vin、D 與 Ro 固定,輸出電壓會呈現下列何種情形?(假設轉換器操作於開迴路)(A)輸出電壓增加 (B)輸出電壓減少 (C)輸出電壓不變 (D)以上皆是
5.當升壓型轉換器(Boost Converter)操作在 CCM 時,電感操作在磁滯曲線的第幾象限?(A)1 (B)1 和 3 (C)3 (D)1 和 4
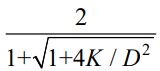
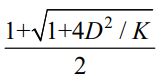
6.承第 1 題, Boost Converter 操作於不連續導通模式(Discontinous Conduction Mode, DCM),則輸入電壓 Vin與輸出電壓 Vo的關係為何?(其中 D 為責任週期,常數 K=2L1/RoTs,Ts為切換週期) (A)(B) (C)(D)
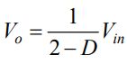
7.則輸入電壓 Vin與輸出電壓 Vo的關係為何?(其中 D 為責任週期)(A) Vo=DVin (B) Vin=(1-D)Vo(C) Vin=DVo (D) Vo=(1-D)Vin
8.承第 7 題,當責任週期 D 為 1 時,達穩態時,電感 L1會呈現下列何種現象?(A) 短路現象 (B) 開路現象 (C) 以上皆是 (D) 以上皆非
9.承第 7 題,假設輸入電壓為 48V,輸出電壓為 24V,輸出電流 12A,切換頻率為 100kHz,L1為 100μH,則此時轉換器的電感電流峰值為多少安培( A )? (A) 24 (B) 9.8 (C) 12.6 (D) 10.2
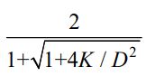
10.承第 7 題,Buck Converter 操作於不連續導通模式(Discontinous Conduction Mode, DCM),則輸入電壓 Vin與輸出電壓 Vo的關係為何?(其中 D 為責任週期,常數 K=2L1/RoTs,Ts為切換週期) (A)(B)(C)(D)
11.當降壓型轉換器(Buck Converter)操作在 CCM 時,電感操作在磁滯曲線的第幾象限?(A) 1 (B) 1 和 3 (C) 3 (D) 1 和 4
12.LLC 串聯諧振型轉換器需要在下列何種模式中操作?(A) 電容性模式 (B) 電感性模式 (C) 以上皆可 (D) 以上皆非
13.承第 12題,理想狀態下,iD1的大小與 iD2的大小相等,若 iD1與 iD2不相等,則可能原因為何?(A) 變壓器二次側繞組阻抗不相同 (B) D1與 D2特性的差異(C) D1和 D2線路上的雜散電阻不相同 (D) 以上皆是
14.承第 12 題,則 LLC 轉換器的諧振電感(Lr)操作在磁滯曲線的第幾象限?(A) 1 (B) 1 和 3 (C) 3 (D) 1 和 4
15.實際上 LLC 轉換器的 Lr與 Cr存在參數誤差值,該誤差值會對下列何者產生影響?(A) LLC 轉換器的效率 (B) LLC 轉換器的諧振頻率(C) LLC 轉換器的諧振電流 (D) 以上皆是
16.若轉換器設計得當並操作在第 1區間(Region 1),則下列敘述何者正確? (A) 開關 S1具有 ZVS turn-on (B) 切換頻率 fs小於諧振頻率 fr (C) 開關 S1具有 ZCS turn-off (D) 以上皆是
17.承第 16 題,【圖 4】的諧振頻率(fr)由下列何種參數決定?(A) Cr和 Lr (B) Cr和 Lm (C) 輸入電壓 (D) 負載
18. 其優點為何? (A) 輸出電壓漣波小 (B) 架構簡單 (C) 輸出功率不受限制 (D) 變壓器不易飽和
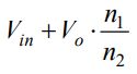
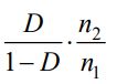
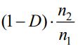
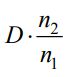
19.承第 18 題,該 Flyback Converter 操作在 CCM 的電壓轉換比(Vo/Vin)為何?(其中 D 為責任週期)(A) (B) (C) (D)
20.承第 18 題,該 Flyback Converter 操作在 CCM,輸入電壓 Vin=400V,責任週期 D=0.4,變壓器匝數比為 n1:n2=10,則輸出電壓為何? (A) 26.7V (B) 267V (C) 400V (D) 160V
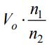
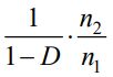
21.承第 18 題,該 Flyback Converter 操作在 CCM,則開關 S1 的跨壓(vDS1)為何?(假設不考慮開關電壓突波的狀況下) (A)(B)(C) Vin (D)
22.當 Flyback Converter 操作在 DCM 時,耦合電感操作在磁滯曲線的第幾象限?(A) 1 (B) 1 和 3 (C) 3 (D) 1 和 4
23.當 Flyback Converter 電源轉換器的變壓器加入氣隙(air gap)的目的為何?(A) 提升效率 (B) 降低切換損失 (C) 儲存能量 (D) 降低噪音
24.切換式電源轉換器的右半平面零點(Right half plane zero)會造成下列何種現象?(A) 輸出電壓漣波降低 (B) 提升相位餘裕度 (C) 降低相位餘裕度 (D) 響應變快
25.相較於切換式電源轉換器,線性電源轉換器具有下列何種特性?(A) 輸入電壓範圍寬 (B) 輸出電壓漣波大 (C) 響應速度快 (D) 效率高
26.下列何種元件的電流可以雙向導通?(A) BJT (B) MOSFET (C) Diode (D) IGBT
27.下列何種鐵心材質的溫度穩定性最差?(A) 鐵鎳鉬 (B) 鐵係鋁合金 (C) 鐵鎳合金 (D) 鐵粉芯
28.圖中繞組 n2的功用為何?(A) 磁通重置(B) 降低輸出電壓漣波(C) 降低鐵心損失(D) 提升輸出電壓
29.承第 28 題,假設條件:輸入電壓為 400V,輸出電壓為 24V,操作在連續導通模式(CCM), n2/n1=1,n3/n1=0.125,則責任週期為何? (A) 0.20 (B) 0.48 (C) 0.861 (D) 0.753
30.承第28題,當開關S1 截止時,vDS1的最大電壓為多少 V?(假設不考慮開關電壓突波的狀況下)(A) 48 (B) 24 (C) 400 (D) 800
31.全橋轉換器(Full-Bridge Converter)隔離變壓器的激磁電感操作,在磁滯曲線的第幾象限?(A) 1 (B) 1 和 3 (C) 3 (D) 1 和 4
32.則電壓轉換比(Vo/Vin)為何?(其中 D 為責任週期,Ts為切換週期) (A) 2D+1 (B) 1-D (C) 1+D (D) 2D-1
33.承第 32 題,Vin=100V,D=0.8,則輸出電壓為何?(A) 20V (B) 260V (C) 180V (D) 60
34.STATCOM 之功能為何?(A) 補償實功率(B) 補償虛功率(C) 以上皆是(D) 以上皆非
35.承第 34 題,STATCOM 為一電力電子設備,利用控制 PWM 來調整電壓與電流之間的相位與振幅,可用來替代下列何種被動元件? (A) 電容器 (B) 電感器 (C) 以上皆是 (D)以上皆非
36.承第 34 題, STATCOM 具有下列何種用途?(A) 改善功率因素 (B) 改善電力系統電壓穩定度(C) 降低電路傳送損耗 (D) 以上皆是
37.下列何者為 Inverter 的功能?(A) DC-DC (B) DC-AC (C) AC-AC (D) AC-DC
38.承第 37 題, Inverter 可操作於下列何種模式?(A) 電流源模式 (B) 電壓源模式 (C) 以上皆是 (D) 以上皆非
39.設計 Inverter 之輸出濾波器時,下列何者為注意之項目?(A) 頻率響應 (B) 磁通飽和 (C) 元件的耐溫 (D) 以上皆是
40.當 Inverter 發生過調變(over modulation)時,會造成下列何種情形?(A) 減少輸出諧波(B) Inverter 輸出電壓不與調變指數(modulation index)成正比(C) Inverter 輸出電壓不受影響(D) 以上皆是
41. 與雙極性正弦脈波寬度調變(Bipolar Sinusoidal Pulse Width Modulation, Bipolar SPWM)的敘述,何者正確? (A) Unipolar SPWM 半個週期內有正負電壓 (B) Bipolar SPWM 半個週期內有正負電壓 (C) Bipolar SPWM 半個週期內只有單極性電壓 (D) 以上皆是
42.承第 41 題,當 Inverter 分別使用 Unipolar 和 Bipolar SPWM 時,下列敘述何者正確?(A) Unipolar SPWM 具有較高之輸出漣波 (B) Bipolar SPWM 具有較高之輸出漣波(C) 以上皆是 (D) 以上皆非
43.下列對電力系統慣量影響的敘述,何者正確?(A) 系統慣量增加 (B) 系統慣量減少 (C) 系統慣量不影響 (D) 以上皆非
44.承第 43 題,當系統慣量減少或增加時,下列敘述何者正確?(A) 系統慣量減少,頻率變化大 (B) 系統慣量減少,頻率變化小(C) 以上皆是 (D) 以上皆非
45.承第 43 題,下列何種方法可增加系統慣量?(A) 使用同步調相機 (B) 結合儲能系統與 Inverter(C) 以上皆是 (D) 以上皆非
46.MOSFET 的導通電阻與溫度的關係為何?(A) 正溫度係數 (B) 負溫度係數 (C) 不受溫度影響 (D) 以上皆非
47.下列何種特性的元件較適合用於並聯連接使用?(A) 正溫度係數的元件 (B) 負溫度係數的元件 (C) 均適合 (D) 均不適合
48.兩台 Inverter 並聯操作時,可藉由改變下列何種參數來進行功率分配?(A) 輸出頻率 (B) 下垂係數 (C) 輸出電壓 (D) 切換頻率
49.在設計電源轉換器時,需要提高切換頻率的原因為何?(A) 減少磁性元件體積 (B) 增加效率 (C) 提高輸出電壓漣波 (D) 增加散熱
50.模組化多階電源轉換器或變流器(modular multilevel converter/inverter)具有下列何種優點?(A) 可承受高電壓 (B) 諧波低 (C) 容量大 (D) 以上皆是