所屬科目:電力電子學
1.試問相較於切換式電源轉換器,線性電源轉換器具有下列何種特性?(A)效率高 (B)輸入電壓範圍寬 (C)輸出電壓漣波大 (D)響應速度快
2.試問電感器有何種特性?(A)通過低頻與高頻 (B)阻止高頻、通過低頻(C)通過高頻、阻止低頻(D)阻止低頻與高頻
3.試問下列何種鐵心材質的溫度穩定性最差?(A)鐵粉芯 (B)鐵鎳合金 (C)鐵鎳鉬 (D)鐵係鋁合金
4.試問下列何種元件的電流可以雙向導通?(A) IGBT (B) MOSFET (C) Diode (D) BJT
5.如【圖 1】所示為一 MOSFET 的等效模型,試問下列關係式何者正確?(其中,Ciss 為輸入電容、Coss 為輸出電容、Crss 為反向轉移電容)
(A) Crss=Cgs+Cgd (B) Crss=Cgs (C) Coss=Cgd+Cgs (D) Ciss=Cgs+Cgd
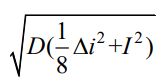
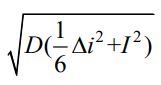
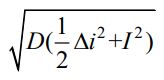
6.如【圖 2】為一週期性波形,試問均方根值為何?(A)(B)(C)(D)
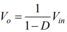
7.試問輸入電壓 Vin與輸出電壓 Vo的關係為何?(其中 D 為責任週期)(A) Vin=DVo (B) Vo=(1-D)Vin (C) Vo=DVin (D) Vin=(1-D)Vo
8.承第 7 題,假設輸入電壓為 24V,責任週期 D 為 0.6,試問輸出電壓為何?(A) 24V (B) 14.4V (C) 12V (D) 9.6V
9.承第 7 題,當責任週期 D 為 1,達穩態時,電感 L1會呈現何種現象?(A)開路現象 (B)電感值變大 (C)短路現象 (D)以上皆非
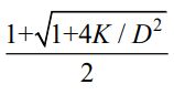
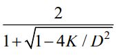
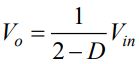
10.承第 7題,在設計降壓型轉換器時,若電感設計不良而導致飽和發生,試問會發生以下何種現象?(A)開關 S1電流(iS1)驟降 (B)電感 L1電流(iL1)驟升(C)以上皆是 (D)以上皆非
11.承第 7 題,假設操作在連續導通模式(Discontinous Conduction Mode, DCM),請問輸入電壓 Vin 與輸出電壓 Vo的關係為何?(其中 D 為責任週期,常數 K=2L1/RoTs,Ts為切換週期) (A) (B)(C) (D)
12.試問輸入電壓 Vin與輸出電壓 Vo的關係為何?(其中 D 為責任週期)(A)(B)(C)(D)
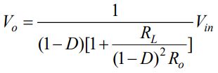
13.承第 12題,升壓型轉換器操作在 CCM,輸入電壓 Vin=120 V,責任週期 D=0.7,試問輸出電壓為何? (A) 70V (B) 280V (C) 90V (D) 400V
14.承第 12 題,假設電感 L1的阻抗為 RL,試問輸入電壓 Vin與輸出電壓 Vo的關係為何?(A)(B)(C)(D)
15.承第 12 題,當電感 L1的 RL增加時,假設 Vin、D 與 Ro固定,輸出電壓會呈現以下何種情形?(假設無輸出電壓回授控制)(A)輸出電壓增加 (B)輸出電壓減少 (C)輸出電壓不變 (D)以上皆是
16.試問降壓型轉換器(Buck Converter)操作在 DCM 時,電感操作在磁滯曲線的第幾象限?(A)第 1 象限 (B)第 1 和 3 象限 (C)第 3 象限 (D)第 1 和 4 象限
17.試問反馳式轉換器(Flyback Converter)操作在 DCM 時,耦合電感操作在磁滯曲線的第幾象限?(A)第 1 象限 (B)第 1 和 3 象限 (C)第 3 象限 (D)第 1 和 4 象限
18.試問全僑轉換器(Full-Bridge Converter)隔離變壓器的激磁電感操作在磁滯曲線的第幾象限?(A)第 1 象限 (B)第 1 和 3 象限 (C)第 3 象限 (D)第 1 和 4 象限
19.試問若要讓開關S1和S2達到零電壓導通(Zero-voltageswichitng turn-on, ZVS turn-on),LLC 串聯諧振型轉換器需要操作在何種模式?(A)電容性模式 (B)電感性模式 (C)以上皆可 (D)以上皆非
20.承第 19 題,理想狀態下,iD1 的大小與 iD2 的大小相等,若 iD1 與 iD2 不相等,試問可能的原因為何? (A)變壓器二次側繞組阻抗不相同 (B) D1與 D2特性的差異 (C) D1和 D2線路上的雜散電阻不相同 (D)以上皆是
21.承第 19 題,試問 LLC 轉換器的諧振電感(Lr)操作在磁滯曲線的第幾象限?(A)第 1 象限 (B)第 1 和 3 象限 (C)第 3 象限 (D)第 1 和 4 象限
22.實際上 LLC 轉換器的 Lr與 Cr存在參數誤差值,試問會影響以下何者?(A) LLC 轉換器的效率 (B) LLC 轉換器的諧振頻率(C) LLC 轉換器的諧振電流 (D)以上皆是
23.若轉換器設計得當並操作在第 1 區間(Region 1),試問下列何者正確? (A)開關 S1 具有 ZVS turn-on (B)切換頻率 fs小於諧振頻率 fr (C)開關 S1 具有 ZCS turn-off (D)以上皆是
24.承第 23 題,試問【圖 6】的諧振頻率(fr)由何種參數決定?(A) Cr和 Lm (B) Cr和 Lr (C)輸入電壓 (D)負載
25.試問加入 n -的目的為何? (A)降低順向壓降 (B)增加逆偏時的承受電壓 (C)降低導通損失 (D)降低切換損失
26.承第 25 題,功率二極體從導通狀態到截止狀態的過程中,會產生逆向恢復電流(reverse recovery current),試問逆向恢復電流對轉換器會產生何種影響? (A)產生電磁干擾 (B)造成電壓突波 (C)導致切換損失 (D)以上皆是
27.承第 25 題,試問當電源轉換器的操作溫度上升時,逆向恢復電流的變化為何?(A)完全不變 (B)下降 (C)上升 (D)以上皆非
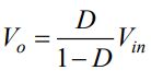
28.試問其優點為何? (A)輸出電壓漣波小 (B)架構簡單 (C)輸出功率不受限制 (D)變壓器不易飽和
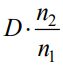
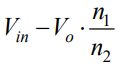
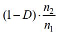
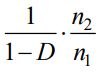
29.承第 28 題,試問 Flyback Converter 操作在 CCM 的電壓轉換比(Vo/Vin)為何?(其中 D 為責任週期)(A) (B) (C)(D)
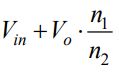
30.承第 28 題,Flyback Converter 操作在 CCM,輸入電壓 Vin=400V,責任週期 D=0.4,變壓器匝數比為 n1:n2=10,試問輸出電壓為何? (A) 400V (B) 267V (C) 26.7V (D) 160V
31.承第 28 題,Flyback Converter 操作在 CCM,試問開關 S1 的跨壓(vds1)為何?(假設不考慮開關電壓突波的狀況下) (A) (B)(C) Vin (D)
32.試問 Flyback Converter 操作在 DCM 時,耦合電感操作在磁滯曲線的第幾象限?(A)第 1 象限 (B)第 1 和 3 象限 (C)第 3 象限 (D)第 1 和 4 象限
33.試問 STATCOM 之功能為何?(A)補償虛功率 (B)補償實功率 (C)以上皆是 (D)以上皆非
34.承第 33 題,STATCOM 為一電力電子設備,利用控制 PWM 來調整電壓與電流之間的相位與振幅,試問可用來替代以下何種被動元件? (A)電容器 (B)電感器 (C)以上皆是 (D)以上皆非
35.承第 33 題,試問 STATCOM 具有以下何種用途?(A)改善功率因素 (B)改善電力系統電壓穩定度(C)降低電路傳送損耗 (D)以上皆是
36.試問繞組 n2的功用為何?(A)磁通重置 (B)降低輸出電壓漣波 (C)降低鐵心損失 (D)提升輸出電壓
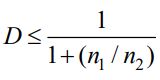
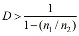
37.承第 36 題,順向式轉換器的責任週期(Duty Cycle, D)的關係式為何?(A)(B)(C)(D)(E)一律給分
38.承第 36 題,假設條件:輸入電壓為 400 V,輸出電壓為 24 V,操作在連續導通模式(CCM),n2/n1=1,n3/n1=0.125,試問最大的責任週期為何? (A) 0.240 (B) 0.861 (C) 0.343 (D) 0.753(E)一律給分
39.試問設計電源轉換器,使用寬能隙(wide band gap)功率半導體開關有可能的考量為何?(A)提升電源轉換器效率 (B)降低切換損失(C)縮小電源轉換器之體積 (D)以上皆是
40.相較於基於矽的功率半導體元件,試問寬能隙功率半導體的臨界電場(critical filed)能力為何?(A)較高 (B)較低 (C)相同 (D)以上皆是
41.試問設計電力電子轉換器之濾波器時須注意下列何者?(A)頻率響應 (B)磁通飽和 (C)元件的特性 (D)以上皆是
42.對電力系統慣量的影響,下列何種正確? (A)系統慣量不變 (B)系統慣量增加 (C)系統慣量減少 (D)以上皆非
43.承第 42 題,當系統慣量減少或增加時,以下敘述何者正確?(A)系統慣量減少,頻率變化小 (B)系統慣量減少,頻率變化大(C)以上皆是 (D)以上皆非
44.承第 42 題,以下何種方法可增加系統慣量?(A)使用同步調相機 (B)結合儲能系統與 Inverter(C)以上皆是 (D)以上皆非
45.試問 MOSFET 的導通電阻與溫度的關係為何?(A)負溫度係數 (B)正溫度係數 (C)不受溫度影響 (D)以上皆非
46.試問下列何種特性的元件較適合用於並聯連接使用?(A)正溫度係數的元件 (B)負溫度係數的元件 (C)均適合 (D)均不適合
47.試問兩台 Inverter 並連操作時,可藉由改變以下何種參數來進行功率分配?(A)輸出頻率 (B)輸出電壓 (C)下垂係數 (D)切換頻率
48.試問為何電源轉換器在設計時需要提高切換頻率?(A)增加效率 (B)減少磁性元件體積 (C)提高輸出電壓漣波 (D)增加散熱
49.試問模組化多階電源轉換器或變流器(modular multilevel converter/inverter)具有以下何種優點?(A)可承受高電壓 (B)諧波低 (C)容量大 (D)以上皆是
50.試問切換式電源轉換器的右半平面零點(Right half plane zero)會造成下列何種現象?(A)輸出電壓漣波降低 (B)提升相位餘裕度 (C)降低相位餘裕度 (D)響應變快