所屬科目:研究所、轉學考(插大)-微積分
1. Find the limit of f(x) as x approaches 2 where f(x) is defined as
f (x) = 1, if x ≠ 2; f (x) = 0, if x = 2 . (10 分)
2. Find the limit of x x . (10 分)
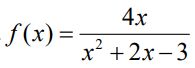
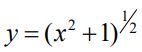
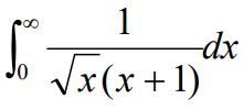
4. Find the differential dy/dx of the function (10 分)
(a)
(b)
(c)
(d)
7. 請將函數 在C=0 的的地方用多項式展開,並寫出前 3 個非 0 項。(7 分)
9. 有一極坐標函數為r = f (θ) =1-2sinθ 。請求出此函數內環(inner loop)所圍出來之面積。(7 分)