所屬科目:輸配電學
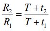
一、已知一條工作頻率在 60 Hz 之三相高壓輸電電纜由導電率 61%之硬抽鋁線(hard-drawn aluminum wire)共 12 股所組成,每股鋁線的直徑為 4 mm, 在溫度 20℃時之電阻係數(resistivity)為 2.83 ✖ 10-8 Ω-m。假設該電纜 在 60 Hz 時之集膚效應修正因數(skin-effect correction factor)為 1.05, 電纜電阻值 R(Ω)與溫度 t(℃)的關係為線性:
式中 T=228℃適用於導電率 61%之硬抽鋁線。試求該電纜在 70℃時之每公里交流電阻值(AC resistance)。(25 分)
二、已知一部大型三相同步發電機(Y 連接繞組之中性點直接接地)經由一具三相 Y-△電力變壓器供電給一部三相感應馬達(Y 連接繞組之中性點 直接接地),發電機、馬達分別連接在該電力變壓器之 Y、△側,電力變壓器 Y 側之中性點直接接地,一個故障發生在變壓器與馬達之間。假設發電機與馬達之電氣參數均為 Xd” = X1 = X 2,由馬達流向故障點之次暫 態電流(subtransient current)對稱分量(symmetrical components)分別 為:,由變壓器流向故障點之次暫態電流對稱分量分別為 :、。試求故障的種類與次暫態故障電流值(p.u.)。(25 分)
三、如下圖所示之單相三線系統(single-phase three-wire system)經由三條相同的配電線路供電給兩個單相負載。已知該電路的參數為:電源相量電壓 VAN = VBN = 110∠0° V,配電線路等效電阻 Rline _ Aa= Rline _ Nn = Rline _ Bb= 1Ω ,單相負載阻抗 Zan = 24- j 2 Ω、 Zbn=15+ j4Ω,其中110∠0° V 為均方根值(root-mean-square value)。試求該系統各條配電線路的相量電流( IAa、 INn 、 IBb)與相量電壓降(VAa 、 VNn 、 VBb )。(25 分)