所屬科目:學士後中醫◆化學(含普通化學、有機化學)
2.針對C2H5Cl→products的實驗,紀錄[C2H5Cl]濃度(單位:M)的實驗數據如下:請問此反應的C2H5CI在t=5 sec時的濃度為何?(e=2.72) (A) 0.22 M (B) 0.19 M (C) 0.13 M (D) 0.08 M
7.在可逆的卡諾循環(Carnot cycle)中包含絕熱(adiabatic)過程,請問以下敘述何者正確? (A)熱(q)等於0 (B)功(w)等於0 (C)內能的變化(△U)等於0 (D)壓力(P)等於0
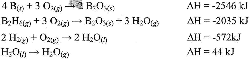
9.已知請問2B(s)+3H2(g)→B2H6(g)的△H 為何? (A) 36 kJ (B) 465 kJ (C) 930 kJ(D) 72 kJ
12.下圖顯示3種不同物質其溫度與電阻率之間的關係,請問下列何者正確?(A)(a)半導體 (b)超導體 (c)金屬 (B)(a)超導體 (b)半導體 (c)金屬(C)(a)金屬 (b)超導體 (c)半導體(D)(a)半導體 (b)金屬 (c)超導體
13.有關配位子(ligand)由強場(strong-field)至弱場(weak-field)的排序,請問下列何者正確?(A)CO > NH3 >I ⁻> H2O(B)I ⁻> NH3 > H2O > CO(C)CO > NH3 > H2O >I ⁻(D) NH3 > H2O > CO >I ⁻
14.請問下圖是何種化學儀器之最佳示意圖?(A)原子發射光譜儀 (B)熱重分析儀 (C)氣相層析儀 (D)元素分析儀
15.下圖是一種銅金合金(alloy)的晶格,請問其化學式為何?(A) CuAu (B) Cu3Au4 (C) Cu3Au (D) CuAu3
18.由銀和氯化銀電極組成的伏打電池,其電池半反應式如下:AgCl(s)+e-→Ag(s)+CI-(aq) E° = +0.222 V 以氯離子為電解質在兩電極的濃度分別為0.0222M和 2.22 M,請問此電池的電動勢(emf)為何? (A) 0.212 V (B) 0.118 V (C) 0.00222 V (D) 0.232 V
21.從以下化學反應式:請問下列何者選項可以表示以下反應的平衡常數?3A2(g)+3 B(g)+2C(g)⇌3A2B(g)+C2(g) Knet = ? (A) Knet = Kp1 X Kp2 X Kp3 (B) Knet = Kp1 x 2Kp3 / Kp2 (C) Knet = Kp1 - Kp2 + 2Kp3 (D) Knet = Kp1 x Kp32/Kp2
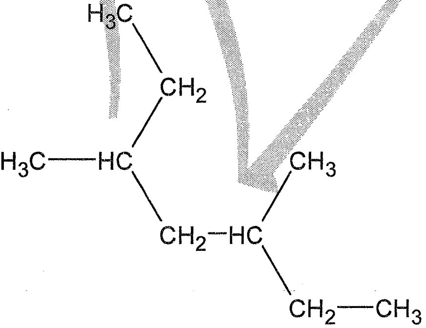
23. 請問以下化合物的正確命名為何?(A)3,5-dimethylheptane (B)secondary ethylpentane (C)2,4-diethylpentane (D)2,3-dimethy1-2,3-diethy|propane
26.請問以下的化學結構式有幾個對掌性(chiral centers)中心?(A)0 (B)1 (C)2 (D) 3
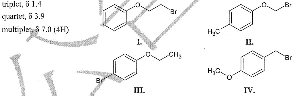
27.依照以下數據判讀來自分子式C8H9BrO的1H NMR圖譜,請問下列何者為正確結構?(A)I (B)II (C)Ill (D)IV
28.當C4H8與水和硫酸反應時,會產生三級醇(tertiary alcohol),請問以下何種C4H8的化學結構符合以上的化學反應? (A) CH3CH2CH = CH2 (B) CH3CH = CHCH3 (C) (D) CH3CH2CH2CH3
31.請預下列化學反應的產物為何?(A) (B) (C) (D)
32.在常溫常壓下,丙二烯(H2CCCH2)為無色氣體。關於丙二烯結構的敘述,請問下列何者錯誤? (A)兩個π鍵 (B)四個(H)取代基是共平面 (C)C-C-C的鍵角是180度 (D)中心碳原子的混成軌域(hybrid orbitals)為sp
33. 關於右方結構(C14H14)中所標示約兩個氫(Ha和Hb),請問下列何者接近這兩個氫化學位移(chemical shif)訊號的差距(ppm)?(A)~1 (B)~4(C)~6 (D)~9
40. 以下列化合物進行電子吸收光譜實驗,請問其結果何者具有最長波長之吸收帶(absorption band) ? (A) (B) (C) (D)
41. 1,3-環已二烯4個分子軌域的能量由低至高排序為:π1,π2,π3,π4。請問下列軌域何者為其最低未佔用分子軌域(LUMO)? (A)π1 (B)π2 (C)π3 (D)π4
42. 請問下列化學反應的產物為何?(A) (B) (C) (D)
43. 請問下列化學反應所需的試劑濃何?(A) CH3-(CO)-OOH (B) CH3-CO-OH (C) CH3-OH (D) Na2O
44. 請問下列化學反應的產物為何? (A) (B) (C) (D)
46.請問下列有機化合物何者不具芳香性? (A) (B) (C) (D)
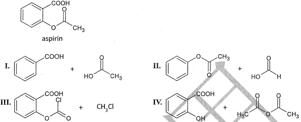
47. 請問下列何者是製備阿斯匹靈 (aspirin)的最佳反應條件?(A) I (B) II (C) lll (D) IV
48.依照下列脂肪酸的熔點由低到高進行排序,請問何者正确?(A) I < II < III < IV (B)IV < lII < ll < l (C)ll < IV < lII < I (D)IV < lI < lII < I
49.依照下列化合物的鹼性(basicity)強度由小到大進行排序,請問何者正確?(A) IV < II < I < lll (B) III <ll < lV < l (C) III < I < H < IV (D) II < lII < I < IV
50.請問下列何者的應產物具有光學活性?(A)(B) (C) (D)