所屬科目:學士後中醫◆化學(含普通化學、有機化學)
1. 氯酸鉀加熱裂解可產生氧氣,在 24oC 和 762 mmHg 時蒐集的氧氣體積是 128 mL;同時在 24oC 時,水的蒸氣壓是 22.4 mmHg,試問此蒐集到的氧氣之重量約為多少? (原子量 O:16.0 g/mol;氣體常數 R = 0.0821 L·atm/mol·K) (A) 2.121 克 (B) 1.654 克 (C) 0.732 克 (D) 0.164 克
2. 體積莫耳濃度 2.45 M 之甲醇水溶液的密度是 0.976 g/ml,此溶液的重量莫耳濃度約為何? (原子量 H: 1.0 g/mol; O: 16.0 g/mol; C: 12.0 g/mol) (A) 1.01 m (B) 2.73 m (C) 3.98 m (D) 4.86 m
3. 有甲與乙兩杯溶液,甲杯溶液為 9 克的葡萄糖溶於 35 克的水中,乙杯溶液為 8 克的非揮發性溶質 X 溶於 25 克的水中。今將甲與乙兩杯溶液同時放入同一密閉容器中,待一段時間平衡後,發現乙 杯溶液的水重變為 40 克,試求此非揮發性溶質 X 的分子量約為多少? (葡萄糖莫耳質量:180 g/mol) (A) 40 g/mol (B) 80 g/mol (C) 120 g/mol (D) 200 g/mol
4. 盛裝有 0.1 M Cu(NO3)2(aq)之電解池中通入 10 安培穩定電流持續 10 分鐘,試問會產生約幾克之銅?(原子量 Cu: 63.6 g/mol) (A) 0.38 克 (B) 1.22 克 (C) 1.98 克 (D) 3.05 克
5. 氧分子的鍵焓(bond enthalpy)是 498.7 kJ/mol,試計算當氧分子解離時可產生之最大波長之光子的波長。[普朗克常數(planck´s constant), ℎ = 6.63 × 10-34 J·s] (A) 240 nm (B) 385 nm (C) 510 nm (D) 750 nm
6. 錯離子[Cr(C2O4)2(H2O)2] -中鉻的配位數(Coordination number)是多少? (A) 2 (B) 3 (C) 4 (D) 6
7. 下列哪些化合物是共軛二烯? I. 1,2-辛二烯 II. 1,3-辛二烯 III. 2,5-辛二烯 (A) 只有 I (B) 只有 II (C) I 和 II (D) II 和 III
8. 考慮反應:MnO2 + 4 HCl → MnCl2 + Cl2 + 2H2O
如果 0.86 莫耳之 MnO2和 48.2 克之 HCl 反應,試問會產生約幾克之 Cl2? (原子量 Mn: 54.9 g/mol; Cl: 35.5 g/mol; O: 16.0 g/mol; H: 1.0 g/mol) (A) 11.7 克 (B) 23.4 克 (C) 35.1 克 (D) 46.8 克
9. 將 HCl 加入 3-甲基-1-戊烯會產生兩種產物,其中一個是 2-氯-3-甲基戊烷,另一個產物為何? (A) 1-氯-3-甲基戊烷 (B) 3-氯-3-甲基戊烷 (C) 3-氯-2-甲基戊烷 (D) 2-氯-2-甲基戊烷
10. 苯化合物之苯環上的取代基,會影響其親電子性芳香環取代反應之速率,試判斷下列何種取代基有最快之反應速率? (A) -NH2 (B) -COOH (C) -NO2 (D) -Cl
11. 水解過程是化學與生命過程中的重要反應之一。有機物之官能基的水解是指易受水攻擊並分解的 基團,它們在酸、鹼或觸媒的幫助下,將大分子分解成小分子。試判斷下列何種基團最不容易水 解? (A) 肽鍵 (B) 酮基 (C) 酯基 (D) 氰基
12. 下列何種 C4H9Cl 化合物的異構物具有對掌性? (A) 1-氯丁烷 (B) 2-氯丁烷 (C) 1-氯-2-甲基丙烷 (D) 2-氯-2-甲基丙烷
13. 醛類與酮類的檢驗主要是利用其羰基(C=O)的特性,透過其與特定試劑反應的差異來鑑別。下列 何種檢驗試劑或藥劑最不適合用於鑑別醛類與酮類的差異? (A) 多倫試劑 (Tollen's Reagent) (B) 2,4-二硝基苯肼 (2,4 - DNP) (C) 斐林試劑 (Fehling's Reagent) (D) 西夫試劑 (Schiff's reagent)
14. 將下列四種酚類依酸性遞增(由弱到強)順序排列。
(A) III < I < II < IV (B) III < II < I < IV (C) IV < II < I < III (D) I < II < IV < III
15. 在進行親和性反應時,下列何種鹵化物只行 SN1 反應機構的反應,不能行 SN2 反應機構的反應? (R 與 R'是烷基,X 是鹵素,Ph 是苯環結構) (A) (B) (C)(D)
16. 某公司之聚合物商品名為「CARBOWAX™」,具有多功能之廣泛用途,例如:護膚品、面膜或清 潔產品的保濕劑、黏合劑、油墨或潤滑劑…等。此聚合物分子結構如下:
下列何種單體可用於合成此聚合物? (A)(B) (C)(D)H2C=CHOH
17. 下列何種起始劑可用於聚合物反應之自由基鏈鎖成長(Chain-growth)聚合? (A) 正丁基鋰 (B) 三乙基鋁 (C) 過氧化苯甲醯 (D) 三氟化硼
18. 依 VSEPR 理論,下列何者為三角平面結構? (A) H2O (B) CH4 (C) NH3 (D) BF3
19. 打開碳酸飲料瓶後,瓶內的氣泡會冒出。下列敘述,何者可正確描述這個現象的溶解原理? (A) 氣體溶解度與分壓成正比,瓶內 CO2 分壓降低,溶解度下降 (B) 氣體冒出完全由浮力造成,與溶解度或分壓變化無關 (C) 開瓶時氣泡生成是因為氣體遵守波以耳定律(Boyle's law) (D) 碳酸飲料氣泡冒出是由拉午耳定律(Raoult’s law)控制
20. AgCl 在純水中的溶解度為 1.0 × 10-5 mol/L,則其 Ksp 值最接近多少?
(AgCl ⇌ Ag⁺ + Cl⁻) (A) 1.0 × 10-10 (B) 1.0 × 10-5 (C) 2.0 × 10-5 (D) 1.0 × 10-2
21. 若一反應在低溫下自發、高溫下不自發,則最合理的熱力學判斷為何? (A) ΔH > 0,ΔS > 0 (B) ΔH < 0,ΔS < 0 (C) ΔH > 0,ΔS < 0 (D) ΔH < 0,ΔS > 0
22. 下列何種改變會影響平衡位置但不影響平衡常數? (A) 改變溫度 (B) 在定容條件下加入惰性氣體 (C) 改變反應物濃度 (D) 改變反應焓變化(ΔH)
23. 在定容條件下加熱理想氣體,下列何者必定增加? (A) 壓力 (B) 體積 (C) 莫耳數 (D) 分子量
24. 關於焓變化(ΔH),下列何者敘述是正確的? (A) 與反應路徑有關 (B) 為狀態函數(state function) (C) 僅適用於氣體 (D) 等於活化能
25. 下列化合物發生「雙重麥克拉弗蒂重排反應(double McLafferty rearrangement)」後,利用質譜法 (mass spectrometry)找出其最終碎片離子的結構為下列何者?
(A) (B) (C) (D)
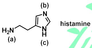
26. 組織胺(histamine)在體內會引發鼻腔分泌物增多和氣道收縮,它含有三個氮原子。請依氮原子鹼 性遞減(由強到弱)的順序排列。
(A) a > b > c (B) b > c > a (C) c > a > b (D) a > c > b
27. 下列化合物的正確名稱為何?
(A) (3R)-2,2,4-trimethylhexane (B) (4R)-2,2,4-trimethylhexane (C) (3S)-2,2,4-trimethylhexane (D) (4S)-2,2,4-trimethylhexane
28. 下列化學反應會得到單一產物,產物為何?(A) (B) (C) (D)
29. 下列化合物中不包含何種官能基?
(A) ether (B) lactam (C) sulfide (D) amide
30. 下列合成反應會產生何種中間產物?
31. 下列反應可生成單一產物,關於其產物結構的敘述,何者正確?
(A) 產物仍是醚類化合物 (B) 產物結構為醇化合物 (C) 產物結構的六碳己環被開環 (D) 產物結構仍具不飽和鍵
32. 下列合成包含三個反應,何種反應名稱是麥可反應(Michael reaction)?
(A) a (B) b (C) c (D) 以上皆非
33. 維蒂希烯烴化反應(Wittig olefination)可以完成下列何種反應? (A) (B) (C) (D)
34. 某患者胃中有 75 mL 的0.20 M HCl。若一錠制酸劑含有 500 mg CaCO3 (分子量約 100 g/mol),根據反應:CaCO3 + 2HCl → CaCl2 + H2O + CO2,此錠藥劑能否中和掉所有的胃酸? (A) 能,且過量 (B) 不能,鹼量不足 (C) 剛好完全中和 (D) 無法計算
35. 根據「人體呼吸生理」,當膈肌收縮使肺部體積增大時,肺內壓力會降低,使空氣進入。這主要符合下列 何種氣體定律? (A) 波以耳定律(Boyle's Law) (B) 查理定律(Charles's Law) (C) 亞佛加厥定律(Avogadro's Law) (D) 亨利定律(Henry's Law)
36. 當水在中藥鍋中受熱汽化[H2O(l) → H2O(g)]時,系統的熵變化(ΔS)為何? (A) 大於零(ΔS > 0),因為氣態的位置機率高於液態 (B) 小於零(ΔS < 0),因為吸收了熱量 (C) 等於零,因為這是一個物理變化 (D) 無法判斷,須視大氣壓力而定
37. 當計算出某反應的反應商數 Q 小於平衡常數 K (即 Q < K)時,反應將如何移動? (A) 反應已經達到平衡 (B) 反應速率會降為零 (C) 反應向左移動(逆向反應) (D) 反應向右進行(正向反應),以增加產物濃度
38. 電池位能 E 是一項「內涵性質」(Intensive property),這代表當化學反應式的係數加倍時,電位會發生什 麼變化? (A) 電位加倍 (B) 電位變為一半 (C) 電位維持不變 (D) 電位變為平方倍
39. 當 1.164 克的某種金屬硫化物在空氣中焙燒時,形成了 0.972 克的金屬氧化物。如果該金屬的氧化 數為+2,試計算該金屬的莫耳質量。(原子量 O: 16 g/mol; S: 32.1 g/mol) (A) 51.4 g/mol (B) 65.4 g/mol (C) 81.4 g/mol (D) 98.4 g/mol
40. 某放射性核種在24.0 秒內,其放射性強度由 1600 Bq 降至25.0 Bq。請問該核種的半衰期為何? (A) 4.0 秒 (B) 6.0 秒 (C) 8.0 秒 (D) 12.0 秒
41. 為什麼三級碳自由基(3° Radical)比一級碳自由基(1° Radical)更穩定? (A) 誘導效應(Inductive effect)導致電子撤走 (B) 三級碳具有較大的角度張力 (C) 三級碳的電負度較小 (D) 超共軛作用(Hyperconjugation)使鄰近 C–H 鍵的電子可部分填入缺電子的軌域中
42. 關於炔類的還原反應,若欲將 2-戊炔(2-pentyne)轉化為 trans-2-戊烯(trans-2-pentene),應使用何種試劑? (A) 鈉(Na)或鋰(Li)於液氨(NH3(l))中 (B) H2搭配 Lindlar 催化劑 (C) H2搭配 Pd/C 催化劑 (D) NaBH4於乙醇中
43. 某一烯烴經臭氧分解(Ozonolysis)並經鋅/醋酸(Zn/AcOH)還原處理後,得到丙酮(Acetone)與乙醛 (Acetaldehyde),該烯烴的結構為何? (A) 2-丁烯 (B) 2-甲基-1-丁烯 (C) 2-甲基-2-丁烯 (D) 3-甲基-1-丁烯
44. 末端炔(Terminal alkyne)在 H2SO4/HgSO4催化下與水反應,其主要產物為何? (A) 二醇(Diol) (B) 羧酸(Carboxylic acid) (C) 醛類(Aldehyde) (D) 甲基酮(Methyl ketone)
45. 觀察(S)-2-溴丁烷與氫氧根離子進行SN2 反應,產物 2-丁醇的組態為何? (A) (S) (B) (R) (C) 外消旋混合物 (D) 內消旋化合物
46. 下列何種方法最適合用來分離外消旋混合物(Resolution of racemic mixture)? (A) 簡單蒸餾(Simple distillation) (B) 酸鹼中和反應 (C) 改變溫度進行分餾結晶 (D) 利用手性試劑或手性層析柱(Chiral chromatography)
47. 當 2-溴丁烷與乙醇鈉反應時,觀察到的動力學實驗結果顯示速率與兩者濃度皆成正比。若使用氘標記的 CH3CHBrCD2CH3 進行反應,發現速率明顯變慢。下列敘述,何者正確? (A) 反應是SN2 機構 (B) 反應是 E2 機構,且C–H 鍵的斷裂發生在速率決定步驟中 (C) 氘原子具有更強的離開能力 (D) 這是 E1 反應的特徵
48. 關於t-Butyl ethers 作為保護基(Protecting group)的應用,下列敘述,何者正確? (A) 必須在強鹼條件下才能移除保護基 (B) 可在酸性水溶液中水解(Deprotection)回醇類 (C) 它不能保護醇類免受格林納試劑的攻擊 (D) t-Butyl 基是透過SN2 反應接上醇類的
49. 進行傅-克烷基化反應(Friedel–Crafts Alkylation)時,下列何種苯衍生物「無法」發生反應? (A) 甲苯 (Toluene) (B) 氯苯 (Chlorobenzene) (C) 苯甲腈 (Benzonitrile) (D) 苯甲醚 (Anisole)
50. 為什麼乳酸(Lactic acid, 2-hydroxypropanoic acid)難以形成穩定的內酯(Lactone)? (A) 因為它不具備羥基 (B) 因為其羥基位於 α 位,若形成內酯會產生具高張力的三員環結構 (C) 因為乳酸在酸性條件下不反應 (D) 因為五員環內酯才是唯一穩定的形式