所屬科目:微積分
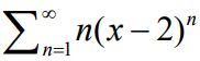
(一)求冪級數之收斂半徑(radiusofconvergence)及收斂區間 (intervalofconvergence)。(15分)
(二)求函數在x=0之四階泰勒多項式(Taylorpolynomial)。 (15分)
(二)求函數f(x,y)=x2-y2+xy-x+y在點(1,2)沿向量 =< 3, 4 >之方向導數(directional derivative)。(15分)
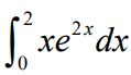
(一)求之值。(15分)
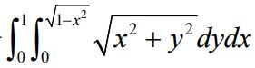
(二)求重積分之值。(15分)