所屬科目:教甄◆數學
2. 求? (A)(B) 0 (C)(D)發散
3. 下列選項中的級數,何者是發散級數? (A)(B)(C)(D)
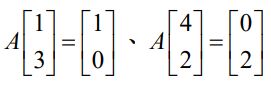
4. 若 A 是一個2✕2的實數矩陣且滿足 ,則 A 的反矩陣 =? (A)(B)(C)(D)
9. 設f(x)=,若(a, b互質),求a + b = ? (A) 124 (B) 247 (C) 286 (D) 329
10.在△ABC中,邊上各取一點D,E,而交於F,若, 則,求k之值為 (A) 3 (B) 4 (C) 5 (D) 6
11.列中的定積分,何者可以用來计算由直線y=x-1和拋物線y2=2x+6所圍成之封閉區域的面積? (A)(B)(C)(D)
12.下列選項中的敘述,何者正確? (A)圖1和圖2的陰影區域,面積相等。 (B)圖1和圖3的陰影區域,面積相等。 (C)圖2和圖3的陰影區域,面積相等。 (D)圖1、圖2和圖3的陰影區域,面積都不相等。
13.曲面cos(xyz)=x2z2+z上在點(1,-1,0)的切平面方程式為何? (A) z=2x-2y-4 (B) z=-2x+2y+4 (C) z=-x+y+2 (D) z=
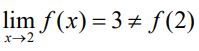
14. 函數f(x)滿足下列條件:f (1) =2、f (2) =5、f '(3) =4、f '(4)不存在、甲、乙、丙、丁四位學生分別做了下列四個推論:甲生:因為,所以f(x)在x=1時連續,因此f(x)在x =1時也可微分。乙生:因為,所以f(x)在x=2時不連續,因此f(x)在x=2時也不可微分。丙生:因為 f'(3) =4,所以f(x)在x=3時可微分,因此f(x)在x=3時也連續。
丁生:因為 f'(4)不存在,所以f(x)在x=4時不可微分,因此f(x)在x=4時也不連續。試問哪些學生的推論是正確的?(A)甲生、丙生 (B)乙生、丙生(C)乙生、丁生 (D)丙生、丁生
15. 設可微函數 f 滿足,則 f '(2) = ? (A) 1 (B)(C)(D)
16. 已知 f (1)=12 且,則下列選項中何者不可能是 f (4) 的值? (A) 20 (B) 30 (C) 40 (D) 1000
17. 試問滿足不等式 2x3+3y2≤400之正整數解(x,y)有幾組? (A) 47 (B) 48 (C) 49 (D) 50
19. 下列何者不是11 的倍數? (A) (B) (C) (D)
20. 袋中有紅球及白球共20顆,從袋中任意取出兩顆球,若取到紅球個數的期望值為,則袋中有幾顆紅球? (A) 8 (B) 10 (C) 12 (D) 14
23. 投擲一公正的六面的骰子三次,設三次中至少出現一次4點的事件為A,三次中至少出現一次2點的事件為B,則事件A和B至少有一發生的機率為 (a, b互質),求a + b = ? (A) 11 (B) 21 (C) 34 (D) 46
24. 四邊形ABCD中,E 為的中點,交於 F,則k✕(△ACD的面積) =△ABC的面積,求k 之值為 (A) 2 (B) 3 (C) 4 (D) 5
25. 設函數f(x)=cos22x+6sin2+x+3,則f(x)最小值為a,最大值為b,求2b-a=?(A) 8(B) 12(C) 16(D) 20
26. 設, 則α之值為何? (A) (B)(C) (D)
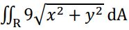
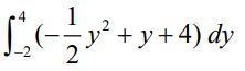
27. 設區域, 求重積分=? (A) 8 (B) 14 (C) 15 (D) 16
28. 設α1, α2, α3為矩陣A=的三個特徵值(eigenvalues),則 =? (A) 57 (B) 60 (C) 63 (D) 66
30. 設 x=,則x3+6x+7之值為何? (A) 10 (B) 11 (C) 12 (D) 13
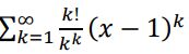
31. 設區間(a, b)為冪級數之收斂域,則 a + 2b 的值為何? (A)(B)(C) 2+e (D) 3+e
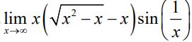
32. 求極限 =? (A)(B) 0 (C)(D)不存在
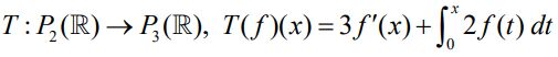
33. 設線性轉換,則nullity(T) =? (A) 0 (B) 1 (C) 2 (D) 3
34. 矩陣A=,下列選項中,何者不是 A 的特徵值? (A) -2 (B) 2 (C) 4 (D) 6
35. 設a ≥ 3 , b ≥ 2 , c ≥ 1,求a+b+c ≤15 的整數解(a, b, c)共有多少組? (A) 165 (B) 220 (C) 310 (D) 345
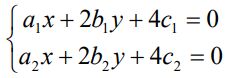
36. 若有一解為(m, n),則的解為(rm, sn),求r + s = ? (A) 3 (B) 6 (C) 8 (D) 12
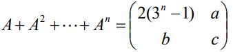
37. 設A=,而,求b + c = ? (A) (B) (C)(D)
39.=? (A)r+1 (B)r2(r+1) (C)r(r+1)2 (D)r(r+1)
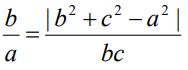
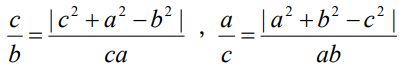
40. 設△ABC中,∠A , ∠B , ∠C所對應的邊其邊長分別為a, b, c,已知 ,且a<b<c ,求∠A (A)(B)(C)(D)