所屬科目:教甄◆資訊科
12.請問以下 VB 程式執行結果為何? (A) 0 (B) 3 (C) 24 (D) 32
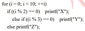
17.下列 C 程式片段之輸出為何? (A) XYXZXZXYXZ (B) XZXZXYXZXY (C) XZXYXZXZXY (D) XYXZXYXZXZ。
18.下列 C 語言程式碼片段,若 n=35,執行後的輸出結果為何? (A) 90 (B) 91 (C) 92 (D) 93