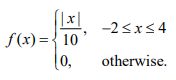
34. A group insurance policy covers the medical claims of the employees of a small company. The value, V, of the claims made in one year is described by
V = 100,000Y
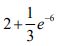
where Y is a random variable with density function
where k is a constant.
Calculate the conditional probability that V exceeds 40,000, given that V exceeds 10,000. (A) 0.08 (B) 0.13 (C) 0.17 (D) 0.20 (E) 0.51