阿摩線上測驗
登入
首頁
>
A.電工原理、B.電機機械
> 113年 - 113 台灣中油股份有限公司_僱用人員甄試試題_電氣類、電機類:電工原理#123156
113年 - 113 台灣中油股份有限公司_僱用人員甄試試題_電氣類、電機類:電工原理#123156
科目:
A.電工原理、B.電機機械 |
年份:
113年 |
選擇題數:
25 |
申論題數:
5
試卷資訊
所屬科目:
A.電工原理、B.電機機械
選擇題 (25)
1.某導線上的電流為3A,則在1分鐘內流過該導線的電量是多少? (A)3庫侖 (B)9庫侖 (C)60庫侖 (D)180庫侖
2.台積電目前最先進的3奈米製程技術受到廣泛關注。請問3奈米等於多少公尺? (A)3 × 10
−9
公尺 (B)3 × 10
−8
公尺 (C)3 × 10
−7
公尺 (D)3 × 10
−6
公尺
3.在相同電壓下,並聯電路中有三個電阻比為3:4:5,請問其電流比為? (A)1:1:1 (B)3:4:5 (C)12:16:20 (D)20:15:12
4.某電動車廠商設計了一款新型車,使用48V的鋰電池。如果電動車的馬達需要1.2kW 的功率,則馬達的工作電流應該是多少? (A)20A (B)25A (C)30A (D)35A
5.將三個相同的15 mH電感器並聯,不考慮互感量,則其並聯的總電感量為多少? (A)5 mH (B)10 mH (C)15 mH (D)45 mH
6.有一台1.5仟瓦特的電熱水器,連續使用2小時,若每度電費為6元,則應繳電費多少元? (A)6元 (B)9元 (C)12元 (D)18元
7.有一電壓源輸出開路時,輸出端電壓為150V,當輸出兩端接上50Ω電阻時,輸出端電 壓降為100V,則此電壓源之內阻為? (A)10Ω (B)15Ω (C)25Ω (D)50Ω
8.電磁感應所產生的應電勢方向,為反抗原磁通的變化,是利用什麼定律? (A)楞次定律 (B)高斯定律 (C)歐姆定律 (D)安培定律
9.下列何種元件在直流電源接通瞬間會呈現短路現象,穩定後會呈現開路現象? (A)二極體 (B)電阻器 (C)電容器 (D)電感器
10.下列何者不是能量的單位? (A)安培小時 (B)電子伏特 (C)焦耳 (D)卡
11.以三用電表交流ACV檔測量正弦波電壓,所測量出的數值為? (A)平均值 (B)有效值 (C)最大值 (D)峰對峰值
12.有一台P = 4極的發電機,電樞旋轉60°機械角,則應電勢經歷多少度電工角? (A)30° (B)60° (C)90° (D)120°
13.有一交流純電容電路,請問電壓與電流的相位關係為? (A)電壓超前電流45度 (B)電流超前電壓45度 (C)電壓落後電流90度 (D)電流落後電壓90度
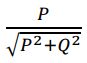
14.某電動車公司推出了一款新型電動馬達,該電動馬達的平均功率為P,電抗功率為Q, 則該電動馬達的功率因數cosθ應為何? (A)
(B) P +Q (C)
(D)
15.如圖【1】所示電路,求電壓V
1
=?
(A)3 V (B)4 V (C)5 V (D)7 V
16.台灣正在大力推動智慧工廠的建設,其中一個新建系統的功率轉換效率為80%,若損失功率為100瓦特,則該系統的輸出功率是多少瓦特? (A)200 W (B)400 W (C)800 W (D)1000 W
17.如圖【2】所示電路,等效電阻R
ab
=?
(A)46KΩ (B)38KΩ (C)20KΩ (D)12KΩ
18.自動工廠的生產線上,有一台機器的功率消耗是500W,如果這台機器每天工作8小時, 一週工作5天,則每週的電能消耗是多少度電? (A)10度 (B)20度 (C)30度 (D)40度
19.某鋰電池的容量標示為2000mAh,該電池若以500mA的電流放電,理論上可以持續供電多久? (A)2小時 (B)3小時 (C)4小時 (D)5小時
20.兩線圈的耦合係數為0.5,且其自感量各為10mH與40mH,則其互感量為? (A)10 mH (B)15 mH (C)25 mH (D)50 mH
21.交流正弦波電壓和電流的最大值分別為200V、5A,則其視在功率等於? (A)500 VA (B)1000 VA (C)2000 VA (D)4000 VA
22.將1/3Ω電阻和1/4Ω電容抗並聯後,連接於120∠0°V的電壓,則其總電流大小為? (A)6 A (B)10 A (C)60 A (D)600 A
23.有一個600匝的線圈,若磁通量在3秒內,由110毫韋伯降至100毫韋伯,求線圈兩端的 感應電壓大小? (A)2000 V (B)100 V (C)22 V (D)2 V
24.有一RL串聯電路,已知功率因數0.8、R=20Ω,試求X
L
為多少Ω? (A)8Ω (B)12Ω (C)15Ω (D)16Ω
25.將某銅線的長度與直徑各增加一倍後,則其電阻值為原電阻值的多少倍? (A)1/4倍 (B)1/2倍 (C)2倍 (D)4倍
申論題 (5)
1. 台灣某大型風力發電廠的一台風力發電機輸出功率為3MW,若電壓為600V,則該發電機的輸出電流為________A。
2. 某大型保麗龍自動切割器之電熱線電阻為25Ω,流經2A電流,經過10秒,產生熱量為________焦耳。
3. 某自動化工廠的機器人系統需要穩定的24V電源供應,若該機器人的總功率需求為 1200W,則系統電流為________A。
4. 如圖【3】所示,求通過8Ω電阻之電流________A。
5.某自動化工廠平均消耗功率為24kW,功率因數為06落后,現在欲將功率因數提高至0.8 落后,求並聯電容器的無效功率為_______kVAR·
相關試卷
113年 - 113 台灣中油股份有限公司_僱用人員甄試_電氣類、電機類:電機機械#123203
113年 · #123203
111年 - 111 台灣中油股份有限公司_僱用人員甄試試題_電氣類、電機類:電工原理、電機機械#113765
111年 · #113765
110年 - 110 台灣中油股份有限公司_僱用人員甄試試題_電氣類、電機類:電工原理、電機機械#110378
110年 · #110378
109年 - 109 台灣中油股份有限公司_雇用人員甄選_電氣類、電機類:電工原理、電機機械#113535
109年 · #113535
108年 - 108 台灣中油股份有限公司雇用人員甄試_電氣類(含睦鄰、離島偏遠)、電機類(含睦鄰、離島偏遠):電工原理、電機機械#80972
108年 · #80972
107年 - 107 台灣中油股份有限公司雇用人員甄試_電氣類(含睦鄰)、電機類:電工原理、電機機械#73307
107年 · #73307
107年 - 台灣菸酒招考-電工原理#68566
107年 · #68566
106年 - 106 台灣中油股份有限公司_僱用人員甄選_電氣類(含睦鄰)、電機類:電工原理、電機機械#67305
106年 · #67305
105年 - 105 台灣中油股份有限公司_雇用人員甄選_電氣類、電機類、睦鄰-電氣類:A.電工原理、B.電機機械#72572
105年 · #72572
104年 - 104 台灣中油股份有限公司_雇用人員甄選_探勘類:A.電工原理、B.機械常識#113544
104年 · #113544