所屬科目:教甄◆化學專業/化工科
1. ( ) 附圖中,管的截面積 1 cm2 ,一端封閉充入氦與水銀,大氣壓力為 76 cmHg,若使左端之水銀面下降 2.5 cm,管中則需 抽取出水銀多少 mL?(A) 12 (B) 16 (C) 18 (D) 20 (E) 25。
7. ( ) 在一氣缸內裝入理想氣體,中間以一種能自由滑動的隔板隔成左、右兩室,如附圖所示。今在 27 ℃ 達平衡時,右室 的體積為左室的 3 倍,現將左室加熱至 327 ℃,右室仍維持 27 ℃,則右室的體積變為原來體積的若干倍?(A) (B) (C) (D) (E) 3。
10. ( ) 下列各平衡系中畫線物質之平衡濃度為 C1(mol/L),定溫下將物系體積減半後之新平衡濃度為 C2(mol/L),何者符合 ? (A)(B) (C)(D) (E)
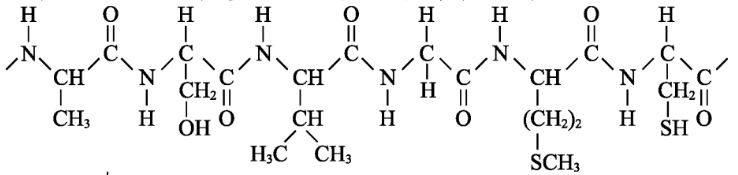
16. 附圖為某蛋白質分子結構的一部分,經過水解後,不可能產生下列哪個胺基酸?(A)(B)(C)(D)(E) 。
17. 四個半電池組成雙電池(電解質溶液中,金屬離子的濃度均為 1.0 M,連接方式如附圖所示。已知:E°(Mn-Mn2+ )= 1.03 V、E°(Zn-Zn2+)=0.76 V、E°(Cu-Cu2+)=-0.34 V、E°(Ag-Ag+)=-0.80 V。
下列哪些操作會使以上雙電池的電壓增大? (A)於 Ag 半電池中加水 (B)於 Ag 半電池中加入 NaCl(s) (C)於 Cu 半電池中加入 NaCl(s) (D)於 Zn 半電池中加入 Na2S(s) (E)於 Mn 半電池中加入NaOH(s)。
19. 在一定條件下,烯烴可發生如附圖的反應:今有一烯烴分子 C7H14,與 H2 行加成反應生成 2,3-二甲基戊烷,該烯烴若經臭氧反應與 Zn 催化水解,得到乙醛與另一種酮 ,試問該烯烴分子的結構是下列何者? (A)(B) (C)(D)(E)
24. ( ) 假設 A、B、C 為三種理想氣體,在一密閉容器中,此三種氣體在 25 ℃ 時之初濃度與平衡濃度值如附表。下列敘述何 者正確?(A)若有 2 mol A 與 3 mol B 完全反應,則可生成 2 mol C (B)若平衡反應式為,則其在 25 ℃ 之濃度平衡常數為 40 (C)此一反應平衡時,C 氣體之分壓為 A 之 2 倍 (D)此一反應平衡時,氣體 C 之莫耳分率為 (E)此一反應平衡時,系統之總壓約為 4.9 atm。
27. ( ) 甲溶液含陽離子 A 濃度 0.10 M,乙溶液含陰離子 B 濃度 0.20 M。取不同體積之甲、乙溶液混合得沉澱,其實驗結果 ,以沉澱物毫莫耳數為縱坐標,以甲、乙體積為橫坐標,繪圖得如附圖之關係圖,則下列敘述哪些正確?(A)此沉澱物的可能化學式為 Ag2O (B)此沉澱物的可能化學式為 Hg2CO3 (C) P 點的 [An+ ]=4×10-3 M (D)此沉澱之溶度積常數為 3.2×10-8 (E)此沉澱物在純水中的溶解度為 2×10-3 M。
29. ( ) 1000 K 時,,Kp=4 atm,在 0.82 升密閉容器中置入 5.6 克 CaO(s),則通入 CO2(g) 的重量 為下列何值時,容器內壓力可達成平衡壓力?(式量:CaO=56;分子量:CO2=44) (A) 1.8 克 (B) 2.2 克 (C) 4.4 克 (D) 8.8 克 (E) 13.2 克。
30. ( ) 於 N2(g)+3H2(g) → 2NH3(g) 之反應中,已知 r=k[N2][H2],設 N2 為 4 莫耳、H2 為 1 莫耳,反應速率為 a,則下列敘述 何者正確? (A)在定溫、定容下,再加入 5 莫耳 Ne(g),則 r 值=a (B)在定溫、定壓下,再加入 5 莫耳 Ne(g),則 r 值=a (C)在定溫、定容下,再加入 5 莫耳 N2(g),則 r 值= a (D)在定溫、定壓下,再加入 5 莫耳 N2(g),則 r 值= a (E)在定溫、定容下,再加入 5 莫耳 H2(g),則 r 值=5a。
33.用於治療帕金森氏症的藥物 L-多巴的結構如附圖,下列關於 L-多巴性質之敘述,何者正確?(A) L-多巴屬於二級胺 (B) 分子式為 C9H11O4N (C) 1 分子 L-多巴中,未鍵結電子對共有 8 對 (D) L-多巴屬於醯胺類化合物 (E) L-多巴為一種 α-胺基酸。
38. 稱取 9.0 g H2C2O4(s)(分子量=90)溶於蒸餾水配成 100 mL 溶液,然後分成兩等份(各 50 mL),各置入錐形瓶中,分別進 行下面兩組滴定實驗(實驗裝置如附圖所示):實驗 I:當 NaOH(aq) 滴入了 100 mL,錐形瓶內溶液恰呈現桃紅色。實驗 II:當 KMnO4(aq) 滴入了 100 mL,錐形瓶內溶液恰呈現紫紅色。試問下列有關上述兩個實驗之敘述,哪些正確?(A)滴定所用的 NaOH(aq),其濃度為 0.50 M (B)滴定所用的 KMnO4(aq),其濃度為 0.20 M (C)在實驗 I 與實驗 II 的反應中,H2C2O4 的當量皆為 45 (D)實驗 I 是酸鹼中和滴定;實驗 II 是氧化還原滴定 (E)各個錐形瓶內所含的酚酞與硫酸皆當作指示劑。
40.在縫合傷口時,若使用生物可分解的縫線,則在癒合後不需拆線。一般常用的可分解縫線材質,其結構如附圖,下列有關此 聚合物的敘述,哪些正確?(A)此聚合物為聚酯類化合物 (B)此聚合物是屬於同元聚合物 (C)此聚合物聚合方式為縮合反應 (D)聚合物的構成單元間是以醚基連結,所以容易在生物體內被酵素分解 (E)構成此聚合物的單體皆含有羥基與羧基 2 種官能基。
(1)之值為何?__(2)__
(2) 之值為何?__(3)__
(1)若巴耳末系列的最長波長為 λ1,來曼系列之最短波長為 λ2,求波長 λ1 與 λ2 的比值為多少?__(17)__
11. 如附圖,25 ℃ 下兩個相連之容器 A、B。容器 A 中盛有 3 atm 的 H2,容器 B 中盛有 2 atm 的 O2。今將兩容器用導管相通, 測得同溫下的混合氣體壓力為 2.7 atm。假設導管體積不計,則: 25 ℃ 下,容器中混合氣體的平均分子量為多少 g/mol?__ (20)__
18.已知 R、Q、X、Y、Z 都是含有氯元素的化合物,其氧化還原反應如下: 請由上述氧化還原反應推出在這五個化合物中,氯的氧化數由大到小之排列順序為【 (29) 】。
24.如附圖所示之流程圖,回答下列問題:此操作所分離的化合物之結構式分別為何? (A): __(37)__ 、(B)__(38)__、(C)__(39)__
25.畫出下列聚合物的單體之結構式:__(40)__