阿摩線上測驗
登入
首頁
>
教甄◆化學專業/化工科
>
113年 - 113-2 國立台灣師大附中_教師甄選初試試題:化學科#120229
> 申論題
申論題
試卷:113年 - 113-2 國立台灣師大附中_教師甄選初試試題:化學科#120229
科目:教甄◆化學專業/化工科
年份:113年
排序:0
申論題資訊
試卷:
113年 - 113-2 國立台灣師大附中_教師甄選初試試題:化學科#120229
科目:
教甄◆化學專業/化工科
年份:
113年
排序:
0
題組內容
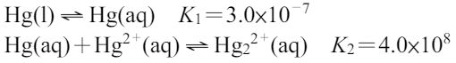
2. 加金屬汞於濃度為 M mol/L 的過氯酸汞溶液中使達平衡,若
回答下列問題:
申論題內容
(2)
之值為何?__(3)__