所屬科目:泉勝◆程式語言與設計(上冊)
1. 寫出程式執行結果。(A)Pass (B)Fail (C)66 (D)程式錯誤
2. 寫出程式執行結果。(A)Pass (B)Fail (C)66 (D)空白
3. 寫出程式執行結果。(A)偶數(B)奇數(C)34 (D)空白4
4. 寫出程式執行結果。(A)子音(B)母音(C)x(D)空白
5. 寫出程式執行結果。(A)春(B)夏(C)秋(D)輸入錯誤
6. 寫出程式執行結果。(A)春(B)夏(C)秋(D)程式錯誤
7. 寫出程式執行結果。(A)5 (B)4 (C)3(D)程式錯誤
8. 寫出程式執行結果。(A)4(B)5(C)1(D)程式錯誤
9. 寫出程式執行結果。(A)aa 60(B)bb 30(C)cc 80(D)程式錯誤
10. 寫出程式執行結果。(A)3(B)4.0(C)5.0(D)6.0
11. 寫出程式執行結果。(A)3(B)4(C)5(D)3.0 B
12. 寫出程式執行結果。(A)x1=5(B)x1=6(C)no real answer(D)x1=2,x2=-3
13. 寫出程式執行結果。(A)1(B)-1(C)-3 (D)2
14. 寫出程式執行結果。(A)infinite sol (B)no sol (C) x=1 (D) x=2 A
15. 寫出程式執行結果。(A)負數(B)Zero(C)正數(D)程式錯誤
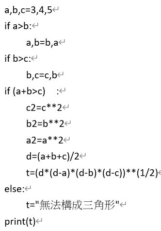
16. 寫出程式執行結果。(A)無法構成三角形(B)6.0(C)3.0(D)4.0
17. 寫出程式執行結果。(A)8(B)16(C)40(D)72
18. 寫出程式執行結果。(A)三點共線(B)2(C)3(D)6
19. 寫出程式執行結果。(A)重度肥胖(B)中度肥胖(C)輕度肥胖(D)過重
20. 寫出程式執行結果。
(A)4(B)5(C)6(D)7