所屬科目:泉勝◆程式語言與設計(上冊)
1. (A)O(B)X
2.(A)O(B)X
3.(A)O(B)X
4.(A)O(B)X
5.(A)O(B)X
6.(A)O(B)X
7. a="A";print(a) #A(A)O(B)X
8. a=Falseprint(a) #False(A)O(B)X
9(A)O(B)X
10. 88=a(A)O(B)X
11.(A)O(B)X
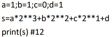
12. (A)O(B)X
13. print(3==2) #1(A)O(B)X
14.(A)O(B)X
15.(A)O(B)X
16a=6;b=4 print(a/b) #1(A)O(B)X
17.(A)O(B)X
18.(A)O(B)X
19.
(A)O(B)X
20. print(9**2)#81(A)O(B)X
21. print(9**(1/2)) #3(A)O(B)X
22 . print(27**(1/3)) #9(A)O(B)X
23 . print(10**2) #100(A)O(B)X
24 . print(10** -2) #0.1(A)O(B)X
25 . print(1/10**2) #0.01(A)O(B)X
26.(A)O(B)X
27.(A)O(B)X
28.
29.
30.(A)O(B)X
31.(A)O(B)X
32.(A)O(B)X
33.(A)O(B)X
34.(A)O(B)X
35.(A)O(B)X
36.(A)O(B)X
37.(A)O(B)X
38.
39.(A)O(B)X
40. (A)O(B)X
41.(A)O(B)X
42. x=8print(1<x<=6) #True(A)O(B)X
43. (A)O(B)X
44.(A)O(B)X
45.(A)O(B)X
46.(A)O(B)X
47.(A)O(B)X
48.
49. print(3**2) #9(A)O(B)X
50. print(-3**2) #9(A)O(B)X