所屬科目:機械工程概論
1. 一個物體在平衡狀態,係指該物體在①靜止狀態;②作等速直線運動;③作等速圓周運動;④作等加速運動;以上何者正確?(A)①② (B)①③ (C)②③ (D)③④。
2. 下列哪一項物理量以向量表示? (A)長度 (B)質量 (C)力矩 (D)時間。
3. 有一車輪的直徑為 D 公尺,周緣一點的線速度為 V 公尺/分,則其每分鐘回轉數為? (A)(B) (C)(D)。
4. 萬向接頭之二軸夾角愈大,則從動軸之轉速變化? (A)不變 (B)愈大 (C)愈小 (D)不一定。
5. 人造衛星的軌道速率與何者無關? (A)地球質量 (B)軌道半徑 (C)萬有引力常數 (D)人造衛星的質量。
6. 在一卡諾(Carnot)引擎中,若 1400kJ 的熱從 700℃的熱源傳入引擎中,而引擎排出熱量到 30℃的環境,則從引擎輸出的功為?(A)864 (B)1264 (C)764 (D)964 kJ。
7. 齒輪輪齒的形式一般有漸開線與擺線兩種,下列敘述何者有誤? (A)漸開線輪齒由一段曲線構成,擺線輪齒為兩段曲線所構成,故漸開線齒輪較易製造 (B)漸開線輪齒的齒根較厚,擺線輪齒的齒根較薄,故漸開線齒輪強度較強 (C)漸開線齒輪之嚙合較緻密,效率較優 (D)漸開線齒輪之壓力角為固定,擺線齒輪則隨時改變。
8. 一圓軸若僅受純扭轉作用時因而所產生之應力為? (A)拉應力 (B)壓應力 (C)剪應力 (D)軸向應力。
9. 簡諧運動係一種? (A)等角速度運動 (B)變加速度運動 (C)等線速度運動 (D)變角加速度運動。
10. 一空心圓桿受軸向壓力 20kN,已知桿內徑為 15 ㎜,材料降伏應力 240MPa,若安全係數為 1.6,則桿外徑最小多少? (A)18 (B)19(C)20 (D)21 ㎜。
11. 兩機件相接觸而稱為低對時,兩機件之間成? (A)點接觸 (B)線接觸 (C)面接觸 (D)體接觸。
12. 機構的機械利益(mechanical advantage)高者表示該機構 (A)省力 (B)省時 (C)省電 (D)費力。
13. 下列何種軸承,適合用來支撐具有軸向及徑向負載之機件? (A)止推軸承 (B)錐形滾子軸承 (C)單列滾子軸承 (D)滾針軸承。
14. 某君 70kg,在一電梯中,若電梯以 3m/s2向下運動,而地板面積為 2m2,則地板所受之平均應力約為多少 N/m2? (A)449 (B)477 (C)239(D)105。
15. 機械效率之值為? (A)必大於 1 (B)必小於 1 (C)必等於 1 (D)必大或等於 1。
16. 在鐵-碳系統中,下列何種成份硬度最高? (A)α肥粒鐵 (B)雪明碳鐵 (C)沃斯田鐵 (D)δ肥粒鐵。
17. 滾柱軸承內部的滾柱與內環(或外環)間之接觸方式為? (A)滑動對 (B)高對 (C)迴轉對 (D)螺旋對。
18. 不銹鋼是因為添加了下列何種元素而使其表面形成氧化薄膜,具有抗腐蝕的特性? (A)鉻 (B)鎳 (C)鋁 (D)錳。
19. 下列何者屬於表面處理? (A)表面機械處理 (B)防護性處理 (C)製造和切削加工 (D)以上皆是。
20. 電阻銲接時係使用? (A)低電壓高電流 (B)高電壓低電流 (C)低電壓低電流 (D)高電壓高電流。
21. 在焊接時我們可使用氣體在焊接區做成保護帷帳,最常用的保護氣體為 (A)氧氣 (B)氫氣 (C)氬氣 (D)氦氣。
22. 惰性氣體鎢極電弧熔接,所選用的惰性氣體為? (A)氬與氦 (B)原子氫 (C)二氧化碳 (D)氮與氦。
23. 下列機件何者可以用來儲存能量? (A)連桿 (B)飛輪 (C)鍵 (D)傳動軸。
24. 銲接分成三大類,分別為熔融銲接、固態銲接及硬銲與軟銲,電弧銲接屬於 (A)熔融銲接 (B)固態銲接 (C)硬銲 (D)軟銲。
25. 下列何者的因次(dimension)和其他三項不同? (A)內能(internal energy) (B)熵(entropy) (C)功(work) (D)焓(enthalpy)。
26. 二重式滾軋機若因滾軋壓力太大造成工件彎曲、波浪狀等缺陷時,下列改善方式的敘述何者為非? (A)減少斷面減縮率 (B)出口處工件上施加拉力 (C)改用四重式機具 (D)添加潤滑劑。
27. 氧乙炔焊接中,乙炔需何下列何種物質一起儲存? (A)丙酮 (B)甲醇 (C)乙醇 (D)甲烷。
28. 某一材料為線彈性且通用虎克定律,則該材料何者敘述是錯的? (A)力與位移關係圖呈一直線 (B)力為 0 時,位移方為 0 (C)力與位移互為倒數 (D)力與位移比值為常數。
29. 泰勒(F.W.Taylor)所提關於刀具壽命之公式:VTn=C,其中? (A)V 為切屑體積 (B)T 為刀具溫度 (C)V 為刀具角度 (D)T 為刀具壽命。
30. 下列何項為凸輪的敘述是錯誤的? (A)能帶動另一從動元件作不等速運動 (B)能將迴轉運動轉變為往復運動 (C)其形狀可為平板、圓錐 (D)無法使從動件作等速度運動。
31. 金屬切削時,其動能轉變為熱能,其中哪一個區域分得最多熱量? (A)切屑與刀具面之摩擦區域 (B)刀具與工件表面之摩擦區域(C)切屑剪斷面之區域 (D)一樣多。
32. 金屬塗層的目的,下列敘述何者不對? (A)防蝕 (B)防止電解分離 (C)防止應力集中 (D)美觀價值。
33. 下列關於珠擊法(shot peening)之敘述何者不正確? (A)低密度之粉末冶金件電鍍前可利用珠擊法封閉孔隙 (B)增加工件之疲勞強度 (C)可改變材料之機械性質 (D)增加工件之形狀公差。
34. 光學平鏡不能用於檢驗工件之 (A)真平度 (B)平行度 (C)尺寸誤差 (D)粗糙度。
35. 金屬材料沖剪時,何者可以改善毛邊問題? (A)使用延展性材料 (B)高速沖剪 (C)增加模具間隙 (D)使用壓料板。
36. 下列何者不是品質管制的目的? (A)預防不良品的發生 (B)減少生產材料耗費 (C)減少退貨可能性 (D)增加生產速度以便提前交貨。
37. 碳化鎢車刀的刀面上磨有一凹槽,其主要作用為? (A)減小震動 (B)阻斷切屑 (C)便於潤滑 (D)導引切屑。
38. 光學平面檢查鏡之鏡面與分厘卡被測真面互相密接後,若有二條干擾紋出現,則其平面度傾斜誤差量為_________μm。 (A)0.32 (B)0.64 (C)0.01(D)0.02
39. 陶瓷的加工可採用下列何種方法? (A)鍛造 (B)刨削 (C)壓製 (D)銲接。
40. 以蒸鍍法在玻璃表面鍍覆一層金屬薄膜的方法是屬於下列何者製程? (A)化學還原反應法 (B)電化學反應法 (C)化學氣相沉積法(D)物理氣相沉積法。
41. 超音波加工法最適用於哪一種材質? (A)硬脆性材料 (B)延展性材料 (C)純金屬材料 (D)合金材料。
42. YAG 雷射切割不銹鋼材時,搭配氣體輔助設備之目的為何? (A)高速氣體吹走熔融金屬 (B)提供氧氣來預熱 (C)高速氣體可以切割更微小孔 (D)為了加速切割貫穿孔。
43. 有關下列雷射加工之描述,何者為非? (A)可加工非金屬材料 (B)可加工細孔 (C)藉外在能量使雷射材料釋放電子以加工工件 (D)有氣體雷射及固體雷射兩種。
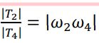
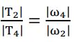
44. 一四連桿機構如圖所示,其輸入桿與輸出桿之角速率分別為ω2及ω4,若忽略各接頭的摩擦阻力及各桿之慣性力及重力之影響,則輸入扭力 T2之絕對值與輸出扭力 T4之絕對比值為? (A) (B)(C) (D)。
45. 一簡支樑承受一集中力 P 如圖所示,則最大彎曲力矩將發生於何處?(A)A (B)B (C)C (D)皆相同。
46. 如圖對 A 點之合力矩為? (A)40N-m 順時針旋轉 (B)32N-m 順時針旋轉 (C)99N-m 逆時針旋轉 (D)28N-m 逆時針旋轉。
47. 圖中,起重機重 1800 公斤,負載重 680 公斤,起重機重心和負載各距 B 點 100 及 55 ㎝,試問二者對 B 點所產生之力矩為何者?(A)217.4 (B)142.6 (C)217400 (D)142600 kg‧cm。
48. 如圖,物塊 A 重 20N 靜置於平面上,A 與平面間動摩擦係數 0.3,若 A 由靜止起動後,速率達到 VA=2m/s,試求此時重 42N 物塊 B所下降距離約為? (A)0.205 (B)0.190 (C)0.175 (D)0.155 m。
49. 如圖分厘卡所示刻度是? (A)21.43 (B)21.83 (C)21.47 (D)22.43 mm。
50. 某一碳鋼經過完全退火之後,其金相組織具有 50%的波來鐵與 50%的肥粒鐵,請問其含碳量(重量%)約為? C=(0.5×0.8%)+(0.5×0.02%)=0.41%(A)0.2% (B)0.3%(C)0.4% (D)0.5%。