所屬科目:泉勝◆基本電學(上冊)
1. 金屬溫度上升,電阻會上升。 (A)O (B)X
2. 銅的絕對零度是 -273,表示溫度若達 -273,則其電阻為 0Ω,但此為理論 值,根據熱力學定律,絕對零度永遠無法達到,只可無限逼近。 (A)O (B)X
3. 金屬材料,溫度下降時,電阻值也是下降,但並不是直線,我們為了簡化計 算,求其近似值,所以假設其為直線,此直線所對應的 0Ω 電阻,其溫度為推 論絕對溫度 T₀。 (A)O (B)X
4. 電阻溫度係數的單位是 。 (A)O (B)X
5. -200°C、0°C、500°C 的電阻溫度係數都相同。 (A)O (B)X
二、 選擇題
1.銅的推論絕對溫度是-234.5,溫度 15.5° 的銅線圈馬達電阻是30Ω,運轉後溫度是 65.5℃,請問其電阻值是多少。(A)2V(B)20Ω(C)36Ω(D)36A
2.銀的推論絕對溫度是-430C,某一銀於溫度 570C 時 12Ω,求當溫度是-430C 時的電阻(A)2Ω(B)8Ω(C)12V(D)16J
3.若銀 20℃ 時的電阻是 30Ω,60℃ 時的電阻是 31Ω,求銀 20℃ 的電阻溫度係數。(A)(B)(C)(D)
4.有一電阻器在 300C 時其電阻值為 3Ω,在 1500C 時其電阻值為 6Ω,則此 電阻器在 300C 時之溫度係數為何?(統測 110)(A)(B)(1/90)(C)(D)
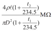
5.用於室内配線之銅導線,在室温#C下,長為《米、直徑D毫米、電 阻係數為PQ·m、推論絕對温度为-234.5%C,下列述何者正確?
統測109 Apl (A)其等效電阻値爲 (B)若導線被剪掉四分之一長度,則其等效電阻値變為- (C)若導線被均匀拉長為原來的N倍(體積不變)則其等效電阻値變為 (D)若室溫上升爲&,C則其等效電阻值變為
6.若銅 20℃ 時的電阻溫度係數是,電阻是 10Ω。求銅 60℃ 時的電阻?(A)8.6Ω(B)9.6Ω(C)11.6Ω(D)11.6kΩ
7.銅的推論絕對溫度 T0 是-2340C,試求其 00C 時的電阻溫度係數 α0 = ?(A)(B) (C)(D)
8.若銅的 00C 電阻溫度係數,求銅 200C 的電阻溫度係數?(A)(B)(C)(D)
9.若銀的 T0 是-2430C:求銀 00C 的電阻溫度係數?(A)(B) (C)(D)
10.若銀的 T0 是-2430C:求銀 400C 的電阻溫度係數?(A)(B)(C)(D)
11.若銀的 T0 是-2430C:求銀-200C 的電阻溫度係數?(A)(B)(C)(D)