所屬科目:泉勝◆基本電學(上冊)
1.以下電路等效
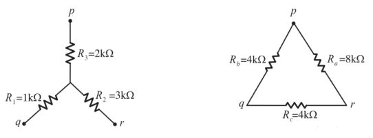
(A)O (B)X
2.Y 轉△公式如下:
3.△轉 Y 公式如下:
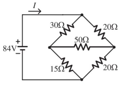
二、選擇題1.電路如圖,求電流 I = ?
(A)0.1A(B)1A(C)2A(D)3 A
2.電路如圖,求電流 I = ?
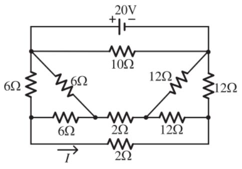
3.電路如圖,R1 = 8Ω、R2 = 2Ω、R3 = 8Ω、R4 = 4Ω、R5 = 4Ω、R6 = 16Ω,求電流 I= ?
(A)1A(B)2A(C)3A(D)6 A
4.電路如圖,求電流 I = ?
(A)1A(B)2A(C)3A(D)4 A
5.電路如圖,求電流 I = ?