阿摩線上測驗
登入
首頁
>
技檢◆一般手工電銲-單一級
> 114年 - 00400 一般手工電銲 單一 工作項目 01:識圖與製圖 51-100(2025/10/03 更新)#131722
114年 - 00400 一般手工電銲 單一 工作項目 01:識圖與製圖 51-100(2025/10/03 更新)#131722
科目:
技檢◆一般手工電銲-單一級 |
年份:
114年 |
選擇題數:
50 |
申論題數:
0
試卷資訊
所屬科目:
技檢◆一般手工電銲-單一級
選擇題 (50)
51. 右圖中"
"兩箭頭所指的是 (A)槽面 (B)根面 (C)間隙 (D)根部半徑 。
52. 銲接輔助符號應配合 (A)引線 (B)基本符號 (C)標示線 (D)尾叉使用 。
53. 銲縫根部間隙係指 (A)
(B)
(C)
(D)
。
54. 根面高度係指 (A)
(B)
(C)
(D)
。
55. 銲冠高度是指 (A)
(B)
(C)
(D)
。
56. 銲接符號中引線為末端帶一箭頭之傾斜線,接在基線之一端,向上或向下與基線約成 (A)40 (B)50 (C)60 (D)70 度。
57. 如下圖所示,選出下列何者為誤
(A)X 形開槽銲接 (B)兩邊開槽深度相同 (C)兩邊開槽角度相同 (D)銲接尺寸省略即表示熔入深度不必對稱 。
58. 喉深是指 (A)
(B)
(C)
(D)
。
59. 銲蝕是指 (A)
(B)
(C)
(D)
。
60. 右圖銲接符號中
"Z8"係表示何種尺寸需為 8 公厘 (A)板厚 (B)喉深(C)腳長 (D)斷續銲長度 。
61. "
"左圖中箭頭所指部位稱為 (A)槽面 (B)根面 (C)斜角 (D)槽角 。
62. "
"左圖之銲接,以銲接符號來表示為(A)
(B)
(C)
(D)
。
63. 腳長是指 (A)
(B)
(C)
(D)
。
64. 銲趾是指 (A)
(B)
(C)
(D)
。
65. 銲接符號之基線為 (A)水平線 (B)垂直線 (C)45 度線 (D)60 度線 。
66. 銲接符號
中的圓弧符號係表示 (A)凸緣銲接 (B)表面銲凸 (C)背面滲透 (D)加工成圓弧 。
67. CNS 銲接符號在箭頭邊銲接的符號應為下列何者? (A)
(B)
(C)
(D)
。
68. 在箭頭對邊銲接的符號應為(A)
(B)
(C)
(D)
。
69. 凸緣銲接符號為 (A)
(B)
(C)
(D)
。
70. I 形開槽銲接符號為(A)
(B)
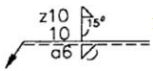
(C)
(D)
。
71. V 形開槽銲接符號為下列何者 (A)
(B)
(C)
(D)
。
72. 單斜 V 形開槽銲接符號為 (A)
(B)
(C)
(D)
。
73. Y 形開槽銲接符號為 (A)
(B)
(C)
(D)
。
74. 銲接符號中銲接深度代號為 (A)s (B)l (C)a (D)z 。
75. 銲接符號中銲道長度代號為 (A)s (B)l (C)a (D)z 。
76. 銲接符號中銲道腳長前需加的代號為 (A)s (B)l (C)a (D)z 。
77. 銲接符號中角銲銲道有效喉深代號為 (A)s (B)l (C)a (D)z 。
78. 尾叉是用於標註 (A)基本符號 (B)輔助符號 (C)加工方法 (D)特別說明事項 。
79. 須作背後銲接符號為 (A)
(B)
(C)
(D)
。
80. 填角銲接符號為 (A)
(B)
(C)
(D)
。
81. 電阻點銲或浮凸銲接符號為 (A)
(B)
(C)
(D)
。
82.
左圖銲接符號表示 (A)現場銲接 (B)現場全周銲接 (C)現場銲圓形板(D)現場注意安全 。
83. 銲接符號
表示 (A)箭頭邊角銲 (B)箭頭對邊角銲 (C)箭頭邊對接 (D)箭頭對邊對接 。
84.
左圖銲接符號表示 (A)I 形開槽連續銲 (B)I 形開槽斷續銲 (C)交錯填角銲 (D)連續填角銲 。
85.
左圖銲接符號表示 (A)連續填角銲 (B)並列填角斷續銲(C)交錯填角斷續銲 (D)單斜槽銲 。
86. 塞孔銲符號
,孔間實際間隔為 (A)20 公厘 (B)180 公厘 (C)200 公厘 (D)220 公厘 。
87. 斷續填角銲
,表示每一銲道長度為 (A)22 公厘 (B)72 公厘 (C)50 公厘 (D)250 公厘 。
88. 如下圖示,銲接符號表示銲道
(A)箭頭邊開槽 60° (B)箭頭對邊開槽 60° (C)箭頭邊銲道深度 90° (D)箭頭對邊銲道深度 90° 。
89. 銲接符號
中"5"表示 (A)深度 5 公厘 (B)腳長 5 公厘 (C)銲 5 處 (D)長 5公厘 。
90. 銲接符號
表示箭頭對邊銲道有效喉深為 (A)10 公厘 (B)6 公厘 (C)15公厘 (D)5 公厘 。
91. 銲接符號
是表示 (A)現場銲接 (B)全周銲接 (C)銲道銲圓 (D)銲圓型板 。
92. 銲接符號
是表示 (A)表面銲平 (B)背面銲平 (C)銲平銲 (D)銲仰銲 。
93. 銲接符號
是表示斷續角銲各間斷距離為 (A)50 公厘 (B)100 公厘 (C)150 公厘 (D)200 公厘 。
94. 連接在銲接符號的基線或副基線上是 (A)基本符號 (B)輔助符號 (C)表面符號(D)說明符號 。
95. 銲接輔助符號應配合 _______使用。(A)引線 (B)基本符號 (C)基線 (D)副基線
96. 銲接符號的副基線是一 (A)實線 (B)虛線 (C)曲線 (D)垂直線 。
97. 銲接符號的副基線與基線呈 (A)垂直 (B)斜角 (C)平行 (D)交叉 。
98. 銲接符號的箭頭應標註在_______ 上。(A)中心線 (B)延伸線 (C)虛線 (D)銲道線
99. 銲接符號中的填角銲腳長標註 (A)不可重複 (B)可重複 (C)不用標註 (D)未規定 。
100. 銲接符號中之箭頭是指示銲接的 (A)位置 (B)方向 (C)方法 (D)規定 。
申論題 (0)
相關試卷
114年 - 00400 一般手工電銲 單一 工作項目 06:銲道檢驗 1-65(2025/10/03 更新)#131750
114年 · #131750
114年 - 00400 一般手工電銲 單一 工作項目 05:銲道清潔 1-21(2025/10/03 更新)#131749
114年 · #131749
114年 - 00400 一般手工電銲 單一 工作項目 04:銲接施工 351-382(2025/10/03 更新)#131748
114年 · #131748
114年 - 00400 一般手工電銲 單一 工作項目 04:銲接施工 301-350(2025/10/03 更新)#131747
114年 · #131747
114年 - 00400 一般手工電銲 單一 工作項目 04:銲接施工 251-300(2025/10/03 更新)#131746
114年 · #131746
114年 - 00400 一般手工電銲 單一 工作項目 04:銲接施工 201-250(2025/10/03 更新)#131745
114年 · #131745
114年 - 00400 一般手工電銲 單一 工作項目 04:銲接施工 151-200(2025/10/03 更新)#131744
114年 · #131744
114年 - 00400 一般手工電銲 單一 工作項目 04:銲接施工 101-150(2025/10/03 更新)#131743
114年 · #131743
114年 - 00400 一般手工電銲 單一 工作項目 04:銲接施工 51-100(2025/10/03 更新)#131742
114年 · #131742
114年 - 00400 一般手工電銲 單一 工作項目 04:銲接施工 1-50(2025/10/03 更新)#131741
114年 · #131741