阿摩線上測驗
登入
首頁
>
技檢◆化學-無機物檢驗-甲級
> 114年 - 03002 化學─無機物檢驗 甲級 工作項目 01:無機一般分析 1-50(2025/10/21 更新)#132500
114年 - 03002 化學─無機物檢驗 甲級 工作項目 01:無機一般分析 1-50(2025/10/21 更新)#132500
科目:
技檢◆化學-無機物檢驗-甲級 |
年份:
114年 |
選擇題數:
50 |
申論題數:
0
試卷資訊
所屬科目:
技檢◆化學-無機物檢驗-甲級
選擇題 (50)
1. 第二族陽離子的沉澱劑為 (A)KOH (B)HCl (C)H
2
S (D)(NH
4
)
2
CO
3
。
2. 不受硝酸氧化之金屬硫化物為何? (A)HgS (B)PbS (C)CuS (D)CdS 。
3. 鐵(Ⅲ)離子與亞鐵氰化鉀[K
4
Fe(CN)
6
]作用會形成何種顏色沉澱? (A)白(B)黑 (C)黃 (D)藍 。
4. 下列離子的氫氧化物何者溶解度最小? (A)
(B)
(C)
(D)
。
5. 下列何種離子不與
產生沉澱? (A)
(B)
(C)
(D)
。
6. 於碳酸鈉溶液中加鹽酸產生 (A)H
2
(B)Cl
2
(C)CO
2
(D)O
2
。
7. 加入 AgNO
3
,下列離子何者產生黑色沉澱? (A)
(B)
(C)
(D)
。
8. 加 FeCl
3
於溶液中,呈血紅色沉澱,則該溶液中含有 (A)
(B)
(C)
(D)
。
9. 涅斯勒試劑(Nessler's reagent)可測定下列何種離子? (A)銅 (B)鉀 (C)銨 (D)銀 。
10. 重量分析法中,鐵的定量常以何種型態稱量? (A)Fe (B)FeO (C)Fe
2
O
3
(D)Fe
3
O
4
。
11. 重量分析法中,加入沉澱劑時要: (A)急速加入,不斷攪拌 (B)緩慢加入,不可攪拌 (C)急速加入,不可攪拌 (D)緩慢加入,不斷攪拌 。
12. 莫爾(Mohr method)分析氯離子含量時,使用何種指示劑來判斷滴定終點? (A)鉻酸鉀 (B)螢光黃 (C)澱粉溶液 (D)酚 。
13. 法揚士(Fajans method)分析氯含量時,使用何種指示劑來判斷滴定終點? (A)鉻酸鉀 (B)螢光黃 (C)澱粉溶液 (D)酚 。
14. 容量分析中,當達到滴定終點時,滴定液與被滴定液之下列何者大約相等? (A)莫耳數 (B)當量數 (C)分子數 (D)重量 。
15. 鄰苯二甲酸氫鉀為下列何物質之標定劑? (A)I
2
(B)HCl (C)KMnO
4
(D)NaOH 。
16. 中和草酸(H
2
C
2
O
4
)0.9 克,需多少 ml 的 0.1N KOH? (A)50 (B)100 (C)150(D)200 。
17. 下列何種標準溶液可用來滴定碘? (A)Na
2
S
2
O
3
(B)Na
2
SO
3
(C)Na
2
S (D)Na
2
SO
4
。
18. 下列何種試劑常用來檢驗水的硬度? (A)NaOH (B)KMnO
4
(C)K
2
Cr
2
O
7
(D)EDTA 。
19. 以 EDTA 測定水的硬度時所使用的隱蔽劑為 (A)NaCl (B)NaCN (C)NaSCN(D)Na
2
CO
3
。
20. 2 N 之高錳酸鉀酸性溶液 25 毫升,可與多少克草酸(H
2
C
2
O
4
‧2 H
2
O)完全反應? (A)4.25 (B)3.95 (C)3.55 (D)3.15 。
21. 加 K
2
CrO
4
於含有
的溶液中會產生何色沈澱? (A)黑 (B)白 (C)紅 (D)黃 。
22. 分離第Ⅱ族、金屬陽離子成 A、B 兩組的分析流程是利用下列何種可溶性錯合離子的生成? (A)溴化物 (B)硝酸鹽 (C)氰化物 (D)硫化物 。
23. 醋酸之 pKa 值為 4.7,則 100mL 0.1 M 醋酸溶液與 50mL 0.1 M 氫氧化鈉溶液混合後之 pH 值為何? (A)3.0 (B)3.7 (C)4.7 (D)5.7 。
24. 使鉛成下列何種化合物沈澱時,得以和鉍、銅、鎘離子分離 (A)Pb(CH
3
CO
2
)
2
(B)Pb(C
2
O
4
) (C)PbSO
4
(D)PbCl
2
。
25. 欲明確分離各金屬陽離子成各分析組,必須留意下列何事? (A)細心控制溫度 (B)細心控制沈澱劑的濃度 (C)必須用塑膠試管 (D)要用過量沈澱劑,以利完全沈澱 。
26. 在定性分析上第Ⅱ族金屬陽離子經形成可溶性及不可溶性硫化物而分離後,不可溶性硫化物可用下列何種操作再加以溶解? (A)加硝酸氧化金屬離子 (B)加鹽酸形成可溶性氯化物錯合物 (C)加硝酸降低溶液之 pH (D)加硝酸氧化
成元素硫 。
27. 酸鹼指示劑溴甲酚綠之
值為 5.2,則變色之 pH 範圍為? (A)2.2~4.2(B)3.2~5.2 (C)4.2~6.2 (D)7.2~9.2 。
28. 加過量氨水於可能含有
的溶液中時,產生白色沈澱及澄清溶液。有關此溶液的下列敘述何者正確? (A)可能有
存在 (B)可能有
存在 (C)可能有
存在 (D)可能有
存在 。
29. 醋酸之
值為 4.7,則 100mL 0.1 M 醋酸溶液與 50mL 0.2 M 氫氧化鈉溶液混合後之 pH 值為何? (A)3.0 (B)4.7 (C)5.7 (D)8.8 。
30. 某樣品分析 n 次之標準差為 5%,若欲降為 1%時,其應分析多少次? (A)2n (B)5n (C)25n (D)125n 。
31. 碳酸鈣與碳酸鎂混合物共 2.50 克,強熱使其變成混合氧化物時,重 1.35克,原試料中碳酸鈣之重量百分率為(Ca=40,Mg=24) (A)76.4 (B)64.2 (C)36.0 (D)23.8 。
32. 含有 K
2
CrO
4
、CH
3
COONH
4
及 CH
3
COOH 的混合物水溶液在分析上有下列何種用途? (A)使
從
及
分離 (B)使
從
分離 (C)使
從
分離 (D)確認
存在 。
33. 濃鹽酸的飽和 MnCl
2
溶液,可用來去除下列何物種? (A)氧化性陰離子(B)還原性陰離子 (C)活性陽離子 (D)可溶性硫化物 。
34. 下列陰離子對,何者能與鈣離子的酸性溶液作用產生沈澱? (A)
和
(B)
和
(C)
和
(D)
和
。
35. 一未知陰離子溶液,以 4M 硫酸酸化後,加入幾滴新配的 FeSO
4
溶液時,溶液變成暗棕色,這表示未知溶液中含有下列那一種陰離子? (A)
(B)
(C)
(D)
。
36. 一未知陰離子的溶液,加入 MgCl
2
,NH
4
Cl 及
時產生白色沈澱,則此溶液中含有下列何種陰離子? (A)
(B)
(C)
(D)
。
37. 在 0.05M
溶液中加入
使其成 PbCl
2
沈澱,如果沈澱完成時,
濃度為 1.9M,則此時有多少莫耳/升的
留存在液中(PbCl
2
的
為1.6x
)? (A)
(B)
(C)
(D)
。
38. 在弱酸的緩衝溶液中的 pH 可以下列何式表示? (A)pH=pKa (B)pH=pKa+log[鹽]/[酸] (C)pH=pKa+log[酸]/[鹽] (D)pH=pKa±1 。
39. 單質子酸 HA 的 Ka值的下列敘述何者正確? (A)隨 pH 的變化而變 (B)必大於
(C)必小於
(D)隨溫度的變化而變 。
40. 某酸型指示劑是黃色的,而其陰離子是藍色的。若此指示劑的
為
,則此指示劑變色的大約 pH 範圍為何? (A)3~5 (B)4~6 (C)5~7 (D)8~10 。
41. 甲胺(CH
3
NH
2
)的
值為
,則 0.05 M 氯化甲銨(CH
3
NH
3
Cl)水溶液中之 pH 值為何? (A)9.00 (B)6.00 (C)5.00 (D)7.00 。
42. 對 0.1M H
2
S 溶液而言,我們可以正確推測的是下列何項? (A)
<<
(B)
(C)
(D)
。
43. 實驗室中較常使用之標準電極為下列何者? (A)玻璃電極 (B)氫電極 (C)甘汞電極 (D)銅電極 。
44. 熱偶的作用是 (A)量樣品之吸熱與放熱 (B)連接熱源與電表 (C)將光能變為熱能 (D)將溫度轉換成電壓訊號 。
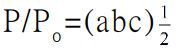
45. 下列何者為比耳(Beer)吸收定律? (A)
(B)
(C)
(D)
。
46. 下列何者用以偵檢紅外線信號? (A)光電倍增管 (B)焦電轉換器 (C)火焰離子化偵檢器 (D)示波器 。
47. 將光或化學訊號變成電訊號的裝置為下列何者? (A)記錄器 (B)偵檢器 (C)放大器 (D)整流器 。
48. 乙炔為下列何項設備之燃料? (A)GC (B)MS (C)AAS (D)IR 。
49. 金屬之定性及定量分析一般宜採用下列何者方法? (A)IR (B)UV (C)TGA(D)AAS 。
50. 電化電池中之鹽橋,最常用何種電解質溶液? (A)KCl (B)NaCl (C)KNO
3
(D)NaNO
3
。
申論題 (0)
相關試卷
114年 - 03002 化學─無機物檢驗 甲級 工作項目 04:實驗管理 1-33(2025/10/21 更新)#132512
114年 · #132512
114年 - 03002 化學─無機物檢驗 甲級 工作項目 03:無機儀器分析 151-219(2025/10/21 更新)#132511
114年 · #132511
114年 - 03002 化學─無機物檢驗 甲級 工作項目 03:無機儀器分析 101-150(2025/10/21 更新)#132510
114年 · #132510
114年 - 03002 化學─無機物檢驗 甲級 工作項目 03:無機儀器分析 51-100(2025/10/21 更新)#132509
114年 · #132509
114年 - 03002 化學─無機物檢驗 甲級 工作項目 03:無機儀器分析 1-50(2025/10/21 更新)#132508
114年 · #132508
114年 - 03002 化學─無機物檢驗 甲級 工作項目 02:無機微量分析 151-177(2025/10/21 更新)#132507
114年 · #132507
114年 - 03002 化學─無機物檢驗 甲級 工作項目 02:無機微量分析 101-150(2025/10/21 更新)#132506
114年 · #132506
114年 - 03002 化學─無機物檢驗 甲級 工作項目 02:無機微量分析 51-100(2025/10/21 更新)#132505
114年 · #132505
114年 - 03002 化學─無機物檢驗 甲級 工作項目 02:無機微量分析 1-50(2025/10/21 更新)#132504
114年 · #132504
114年 - 03002 化學─無機物檢驗 甲級 工作項目 01:無機一般分析 151-192(2025/10/21 更新)#132503
114年 · #132503