阿摩線上測驗
登入
首頁
>
技檢◆鍋爐操作-乙級
> 114年 - 03100 鍋爐操作 乙級 工作項目 01:鍋爐啟用前之檢點 201-234(2025/10/16 更新)#132339
114年 - 03100 鍋爐操作 乙級 工作項目 01:鍋爐啟用前之檢點 201-234(2025/10/16 更新)#132339
科目:
技檢◆鍋爐操作-乙級 |
年份:
114年 |
選擇題數:
34 |
申論題數:
0
試卷資訊
所屬科目:
技檢◆鍋爐操作-乙級
選擇題 (34)
複選題
201. 管線的保溫材料之選擇,主要依據下列些因素: (A)操作方便性 (B)流體溫度 (C)外界溫度 (D)熱傳導率 。
複選題
202. 鍋爐操作應注意事項下列何項正確? (A)鍋爐操作人員應經訓練合格 (B)操作人員於管理操作鍋爐前,需瞭解緊急操作時之處理方法 (C)操作人員在操作前應熟悉鍋爐使用說明書 (D)鍋爐需經檢查機構檢查合格並取得合格証,始得操作運轉 。
複選題
203. 鍋爐啟用前之內部檢點下列何項正確? (A)須準備照明燈 (B)胴體內有油污不影響 (C)內部有污物、附著物、殘留物等不影響工作 (D)內部應充分換氣 。
複選題
204. 壓力表之檢點,下列何項正確? (A)連接管與壓力表之接裝部是否有鬆弛 (B)虹吸管是否裝水 (C)指針是否歸零 (D)刻度板面上不必標示鍋爐之最高使用壓力 。
複選題
205. 燃燒室與煙道之檢點下列何項正確? (A)檢點爐內及煙道內之耐火磚是否有須補修的地方 (B)鍋爐之傳熱面、燃燒室及煙道須徹底清掃 (C)輕啟阻風門,關閉時不要密閉 (D)通入煙道之掃除口,其門要能密閉鎖緊 。
複選題
206. 給水裝置之檢點下列何項正確? (A)馬達之迴轉方向需與泵之迴轉方向一致 (B)輪機泵若由其吸入側之軸涵蓋有少許空氣進入時,其性能會大大地降低 (C)注水器(Injector)僅檢點吸入管 (D)給水泵可以低於規定之吸入壓力操作 。
複選題
207. 有關安全閥之敘述下列何項正確? (A)安全閥洩漏時,可再旋緊彈簧使其超過最高使用壓力 (B)安全閥在設定壓力不吹洩時,則需拉動拉桿試吹一次,然後才使其自動吹洩 (C)經如此操作後,仍不吹洩時,則須停止鍋爐操作,檢查安全閥有無故障 (D)安全閥在停噴壓力以下仍會漏氣時,須改變閥之接觸位置 。
複選題
208. 下列有關鍋爐壓力表之敘述,何者正確? (A)壓力表的面徑一般在100mm 以上 (B)最大刻度應為最高使用壓力之 5 倍至 10 倍左右 (C)連接壓力表之蒸汽管需能承受鍋爐之最高使用壓力 (D)蒸汽溫度超過 210℃時,不得使用銅管或黃銅管 。
複選題
209. 下列有關安全閥之敍述,何者正確? (A)一般設定安全閥的開啟壓力為鍋爐之設計壓力 (B)一般市售之安全閥有彈簧式、重碼式及槓桿式三種(C)彈簧式安全閥在使用上最為普遍 (D)全升程式安全閥適用於低壓且吹氣量少之鍋爐 。
複選題
210. 以下有關流量計之敍述,何者正確? (A)差壓式流量計是利用文氏管之壓力差與流量成線性比例關係而得知流量 (B)一般容積式流量計構造,在外殼中裝置兩個互相嵌合之橢圓型齒輪 (C)容積式流量計是利用流過齒輪與外殼間的空間部分之量,加以量測 (D)容積式流量計利用流量與齒輪迴轉數成正比之關係,得知流體之流量 。
複選題
211. 程序控制中所用之信號傳送方式,主要可分為氣壓式、液壓式、電氣式三種,以下有關這三種方式之特性敍述,何者正確? (A)氣壓式信號最複雜,不易保養 (B)液壓式操作力強大 (C)電氣式不易提供操作速度快的比例操作器 (D)氣壓式操作上不會有延遲傾向 。
複選題
212. 下列有關汽水鼓之敘述那些是正確的 (A)將水冷壁來的汽水予以分離 (B)水位太低時,有致水冷壁失水而過熱燒損之虞 (C)水位太高時連續沖放閥自動開啟洩放 (D)設有排氣閥應於鍋爐啟停期間壓力<2kg/cm2 時開啟 。
複選題
213. 下列對空氣預熱器(Air Preheater)的敘述那些是正確的 (A)降低煙囪排放煙氣溫度可提高鍋爐效率 (B)提高燃燒空氣溫度進而改善燃燒條件 (C)會減少鍋爐通風阻力 (D)可節省送風機運轉所耗電力 。
複選題
214. 下列對節煤器之敘述,何者正確 (A)節煤器一般皆裝置於空氣預熱器與煙囪間 (B)通過節煤器之煙道氣溫度太低時則外管易致低溫腐蝕 (C)為防止管內腐蝕必須控制水中含氧濃度及 pH 值 (D)屬於鍋爐熱回收設備 。
複選題
215. 下列敘述那些是脫氣槽的功能? (A)除去冷凝水中殘餘之氧氣及不溶性氣體 (B)加熱給水 (C)儲水 (D)調整給水 pH 值 。
複選題
216. 有關煙囪的通風力說明中,下列何項錯誤? (A)與煙囪高度之平方根成正比 (B)與煙囪高度成反比 (C)與煙囪高度成正比 (D)與煙囪出口直徑成正比 。
複選題
217. 自然循環式水管鍋爐的壓力越高越需要增加鍋爐本體的高度,其最大理由說明中,下列何項錯誤? (A)為改善燃燒效率 (B)為改善水的循環 (C)為提高鍋爐效率 (D)為避免水垢之黏著 。
複選題
218. 下列有關省煤器說明之中,下列何項正確? (A)省煤器可以提高鍋爐熱效率,故可節省燃料 (B)省煤器可以減少給水與鍋爐水之溫度差 (C)省煤器可以去除給水中一部分的不純物 (D)省煤器係裝設於燃燒室以吸收輻射熱 。
複選題
219. 鍋爐給水泵的驅動馬達是 3 相 2 極 480v 125kw 感應馬達,下列敘述何者正確? (A)馬達絕緣電阻越高越好 (B)可以用來提高功率因數 (C)靜止時的轉差率=0 (D)水泵出水量越大則馬達電流越大 。
複選題
220. 下列何者是防止感電的好方法? (A)把接地線的線徑加粗 (B)設備的外殼做良好的接地 (C)穿著絕緣裝備 (D)裝漏電斷路器 。
複選題
221. 下列何者是 PLC 的優點? (A)由硬體即可修改控制邏輯 (B)模組化設計(C)體積小 (D)具備與電腦連線的功能 。
複選題
222. 下列何者可作為低壓馬達的保護? (A)電磁接觸器 (B)電力熔絲 (C)積熱電驛 (D)閃爍電驛 。
複選題
223. 有關溫度量測元件下列敘述何者正確? (A)RTD 是溫度檢測器 (B)RTD 所量測的信號是歐姆(Ω) (C)熱電偶是溫度檢測器 (D)熱電偶所量測的信號是毫安(mA) 。
複選題
224. 下列何者是不斷電系統(UPS)的優點? (A)防止感電 (B)隔離電源雜訊 (C)外部電源停電時可以繼續供電 (D)穩定儀器電源電壓 。
複選題
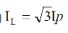
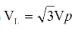
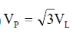
225. 對於 Y 接三相變壓器,
為線電壓、
為相電壓、
為線電流、
為相電流,下列敘述何者正確? (A)
(B)
(C)
(D)
。
複選題
226. 下列何種故障型態,其零序電流等於零? (A)單相接地故障 (B)平衡三相故障 (C)二線短路 (D)二線直接接地 。
複選題
227. 有關 3 相 3 線 480V 非接地系統 MCC 的敘述下列何者正確? (A)單線接地時要跳脫,馬達不得繼續運轉 (B)紅燈亮表示馬達運轉中 (C)綠燈亮表示馬達停止 (D)大故障電流的遮斷要用 NFB 來跳脫而非電磁開關 。
複選題
228. 下列何種型式的流量計需要溫度、壓力補償? (A)質量式流量計 (B)正位移流量計 (C)透平式流量計 (D)差壓式流量計 。
複選題
229. 控制閥的結構包括下列哪些部分? (A)閥體 (B)控制器 (C)閥帽 (D)驅動器 。
複選題
230. 能啟斷大電流之斷路器,內部填充 SF6 作絕緣和消弧的有下列何者?(A)OCB (B)ACB (C)GCB (D)GIS 。
複選題
231. 下列測量元件中,何者為非接觸式的測量元件? (A)玻璃液面計 (B)超音波液面計 (C)輻射液面計 (D)雷達波液面計 。
複選題
232. 下列敘述何者正確? (A)電氣設備容量以 kWh 表示 (B)蓄電池的容量以Ah 表示 (C)實功率=伏安功率×cosθ (D)1 馬力=0.746kW 。
複選題
233. 有關減壓閥之敍述,以下何者正確? (A)高壓蒸汽由一次側(入口側)進入(B)可維持二次側(出口側)蒸汽在一定壓力 (C)可利用彈簧將壓力之設定範圍擴大 (D)目前使用上常以減壓流孔板取代減壓閥 。
複選題
234. 蒸汽鍋爐加熱於水或熱媒之熱源,包括火焰及下列何者? (A)燃燒氣體(B)其他高溫氣體 (C)電熱 (D)核子反應熱 。
申論題 (0)
相關試卷
114年 - 03100 鍋爐操作 乙級 工作項目 07:安全衛生與環保 51-90(2025/10/16 更新)#132348
114年 · #132348
114年 - 03100 鍋爐操作 乙級 工作項目 07:安全衛生與環保 1-50(2025/10/16 更新)#132347
114年 · #132347
114年 - 03100 鍋爐操作 乙級 工作項目 06:停止運轉操作 1-26(2025/10/16 更新)#132346
114年 · #132346
114年 - 03100 鍋爐操作 乙級 工作項目 05:異狀處理 51-119(2025/10/16 更新)#132345
114年 · #132345
114年 - 03100 鍋爐操作 乙級 工作項目 05:異狀處理 1-50(2025/10/16 更新)#132344
114年 · #132344
114年 - 03100 鍋爐操作 乙級 工作項目 04:正常運轉操作 51-100(2025/10/16 更新)#132343
114年 · #132343
114年 - 03100 鍋爐操作 乙級 工作項目 04:正常運轉操作 1-50(2025/10/16 更新)#132342
114年 · #132342
114年 - 03100 鍋爐操作 乙級 工作項目 03:升壓操作 1-57(2025/10/16 更新)#132341
114年 · #132341
114年 - 03100 鍋爐操作 乙級 工作項目 02:起動點火操作 1-65(2025/10/16 更新)#132340
114年 · #132340
114年 - 03100 鍋爐操作 乙級 工作項目 01:鍋爐啟用前之檢點 151-200(2025/10/16 更新)#132338
114年 · #132338