阿摩線上測驗
登入
首頁
>
技檢◆鍋爐操作-乙級
> 114年 - 03100 鍋爐操作 乙級 工作項目 03:升壓操作 1-57(2025/10/16 更新)#132341
114年 - 03100 鍋爐操作 乙級 工作項目 03:升壓操作 1-57(2025/10/16 更新)#132341
科目:
技檢◆鍋爐操作-乙級 |
年份:
114年 |
選擇題數:
57 |
申論題數:
0
試卷資訊
所屬科目:
技檢◆鍋爐操作-乙級
選擇題 (57)
1. 有關鍋爐升壓時,下列那一項敘述是正確的? (A)無論任何理由均不可使鍋爐急劇燃燒 (B)套裝型水管鍋爐升壓時間較相同容量之爐筒煙管鍋爐慢(C)升壓所需時間主要視燃料的發熱量 (D)在蒸汽開始產生前應先關閉空氣閥 。
2. 鍋爐升壓前,下列各閥或旋塞的開閉情形,那一項是錯誤的? (A)主蒸汽閥:閉 (B)胴體空氣閥:閉 (C)胴體沖放閥:閉 (D)壓力表旋塞:開 。
3. 當鍋爐的蒸汽壓力開始上升時,下列那一項動作是正確的? (A)蒸汽產生後,應將空氣閥保持常開狀態 (B)在達到最高使用壓力的 20%時,將安全閥作手拉試驗 (C)實施底部沖放,並確認沖放閥已關閉 (D)保持水位計之水位靜止,勿使水位上下移動 。
4. 壓力上升時,要確認沖放管有無洩漏,下列那一項動作是正確的? (A)監視蒸汽壓力上升速度 (B)監視水位計水位上下移動 (C)將沖放閥把手旋緊 (D)目視沖放閥出口處有無洩漏 。
5. 壓力上升時,蒸汽管接合處蒸汽會洩漏的原因,下列那一項敘述是錯誤的? (A)溫度變化引起伸縮 (B)墊片不良 (C)水鎚作用 (D)附著水垢 。
6. 蒸汽壓力開始上升時,下列那一種情況屬於異常? (A)壓力表旋塞與管軸同方向 (B)壓力表指針移動圓滑 (C)目視沖放閥出口處有洩漏 (D)玻璃水位計水位上下移動 。
7. 鍋爐排煙濃度檢測結果為林格曼 2 號,其不透光率為 (A)20% (B)40% (C)60% (D)80% 。
8. 鍋爐底部沖放操作不會造成下列那一種結果? (A)燃料增加 (B)爐水濃度減少 (C)排煙濃度降低 (D)爐水 pH 值降低 。
9. 水之臨界溫度是接近於 (A)100℃ (B)212℃ (C)225℃ (D)374℃ 。
10. 在鍋爐胴體上開設橢圓型人孔時,以下列那一種方式為適當? (A)長徑與胴體縱向同方向 (B)短徑與胴體縱向同方向 (C)長短徑方向不拘 (D)開設胴體下方 。
11. 依規定鍋爐最高使用壓力多少以上者需裝設二個以上之沖放閥? (A)2kgf/cm
2
(B)4kgf/cm
2
(C)6kgf/cm
2
(D)7kgf/cm
2
。
12. 鍋爐裝設安全閥之目的為 (A)防止鍋爐內部超壓 (B)控制鍋爐內之水位 (C)檢查鍋爐內之水垢 (D)排除鍋爐內之沉積物 。
13. 鍋爐裝設沖放閥之目的為 (A)控制鍋爐內之水位 (B)排除溶存氧 (C)防止鍋爐內部超壓 (D)排除鍋爐內之不純物 。
14. 鍋爐所使用之壓力表之最大指度,依規定應為最高使用壓力之幾倍? (A)3~5 倍 (B)1.5~2 倍 (C)2~4 倍 (D)4~6 倍 。
15. 鍋爐水鼓之沖放管應裝設 (A)球閥與止回閥 (B)球閥與加壓閥 (C)沖放旋塞與加壓閥 (D)旋塞與沖放慢開閥 。
16. 裝設連續吹洩裝置之目的,乃為 (A)排除廢氣 (B)提高蒸汽溫度 (C)防止空氣污染 (D)排除爐內濃縮之不純物 。
17. 水之硬度一般採用 (A)德國硬度 (B)美國硬度 (C)英國硬度 (D)CaCO
3
硬度 。
18. 水中含 10ppm CaCO
3
時,表示一噸水中含有多少公克之該物質? (A)1 (B)0.1 (C)10 (D)100 。
19. 水中含 10ppb CaCO
3
時,表示一噸水中含有多少毫克之該物質? (A)1 (B)0.1 (C)10 (D)100 。
20. 高壓鍋爐之給水,其 Ph 值控制於下列何值為最適宜? (A)6~7 (B)8~9 (C)10~11 (D)12~13 。
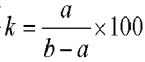
21. 鍋爐給水中之氯離子濃度為 10ppm,如欲維持鍋爐水之氯離子濃度於510ppm,試問其沖放量應為多少%?(但 k=
×100%) (A)1% (B)1.5%(C)2% (D)2.5% 。
22. 酸消耗量(pH4.8),俗稱 (A)P 鹼度 (B)C 鹼度 (C)A 鹼度 (D)M 鹼度 。
23. 亞硫酸鈉可除去水中溶存之氧氣,設水中含有 1ppm 氧氣,則每一噸水需用亞硫酸鈉多少公克才能除去該氧氣?(原子量;Na=23,S=32,O=16) (A)7.88 (B)6.33 (C)3.94 (D)0.8 。
24. 亞硫酸鈉 78.8 公克,可除去水中溶存之氧氣約多少 ppm? (A)1 (B)10 (C)20(D)30 。
25. 1ppm 的 CaCO
3
換算為德國硬度應為多少? (A)0.056 (B)0.065 (C)0.56 (D)0.65 。
26. 鍋爐之蒸發量為 100 噸/時,給水中溶解固體物濃度 20ppm,如鍋爐水之溶解固體物濃度欲維持於 520ppm,試問每小時之沖放量若干? (A)1 噸 (B)2 噸 (C)3 噸 (D)4 噸 。
27. 設給水中之氯離子濃度為 20ppm,如欲維持鍋爐水之氯離子濃度於420ppm,試問對於給水量應實施幾%之沖放量?(
) (A)4.3% (B)4.5% (C)4.8% (D)5% 。
28. 水中含有之溶存氧氣,可用亞硫酸鈉予以除掉,即 2NaSO
3
+O
2
→2Na
2
SO
4
,(原子量 Na=23,S=32,O=16),設水中含有 1ppm 氧氣,則每一噸水需用亞硫酸鈉多少 g? (A)1 (B)3.94 (C)7.88 (D)10.5 。
29. 鍋爐不可急速升壓的原因為: (A)會妨礙鍋爐水循環 (B)會影響鍋爐效率 (C)會損壞壓力表、溫度計 (D)會使鋼材發生不均熱應力 。
30. 以手動調大燃燒量時,其調整方式為 (A)先調大風量再調大油量 (B)僅調大風量 (C)僅調大油量 (D)先調大油量再調大風量 。
31. 在節煤器內部之水仍未開始流動之前,通以大量之高溫燃燒氣體時,會發生什麼害處? (A)蒸汽之產量受阻礙 (B)增加二氧化硫使節煤器發生腐蝕 (C)水垢之附著量急激增加使節煤器發生過熱 (D)內部會產生蒸汽使節煤器發生過熱 。
32. 鍋爐升壓中下列有關檢點操作說明中那一項是錯誤的 (A)確認水位 (B)關閉節氣閘 (C)關閉空氣閥 (D)檢點各部有無洩漏 。
33. 下列有關孔蓋之封閉方法,何者為誤? (A)確認鍋爐內部沒有人之後,才可封閉人孔等之孔蓋 (B)墊片的接觸面是否整理完妥,墊片應使用質優較薄的材料且接觸面要儘量寬闊 (C)鎖螺絲用之扳手應使用適當尺寸者,避免鎖斷螺絲或發生潛在性的裂傷 (D)鎖緊兩個以上螺絲時,應將各螺絲鄰接依序鎖緊以求密合 。
34. 下列有關實施電極式水位檢出器之水柱管沖放目的之說明中,那一項是不對的? (A)為排除水柱管內之鍋泥等沉澱物 (B)為除去附著於電極棒之水垢(C)為防止水柱管內水純度之升高 (D)為清掃水柱管與鍋爐間連接管內之污物 。
35. 下列有關各種鍋爐最低安全水位之說明中,那一項是錯誤的? (A)臥型煙管鍋爐最上排煙管上方 75mm (B)豎型鍋爐火室最高部上方 75mm (C)豎型煙管鍋爐火室對板上面起算煙管長度之 1/2 (D)水管鍋爐依其構造情形而定 。
36. 鍋爐於熔接製造過程中須實施退火處理之目的為 (A)增加材料強度 (B)增加材料韌性 (C)消除熱應力 (D)減少脆性 。
37. 鼓胴製成圓筒形的理由,下列那一項說明最正確? (A)製作比較容易 (B)裝接端板比較容易 (C)在強度上比較有利 (D)比其他形狀可得更多的保水量 。
38. 熔接鍋爐在熔接施工後必須實施退火處理,試問其處理時之最高溫度為多少? (A)550℃ (B)650℃ (C)750℃ (D)850℃ 。
39. 管板管孔之鉸溝目的為 (A)節省擴管時間 (B)防止洩漏 (C)減少擴管率 (D)增加傳熱面積 。
40. 表壓力等於 (A)絕對壓力減大氣壓力 (B)絕對壓力加大氣壓力 (C)大氣壓力減絕對壓力 (D)大氣壓力加真空壓力 。
41. 系統中總熱量之變化等於 (A)內能 (B)內能+動能+位能 (C)動能+位能 (D)內能+功 。
42. 於一大氣壓力下,純水之沸點以絕對溫度表示為 (A)100K (B)200K (C)273K(D)373K 。
43. 鍋爐之沖放閥不宜使用球型閥之原因為 (A)易因水垢引起故障 (B)水流速度太慢 (C)與快開閥無法配合 (D)耐力不足 。
44. 鍋爐升壓時,對於水位計水側連接管測試,下列何者為操作之第一步驟?(A)關閉蒸汽側旋塞 (B)關閉水側旋塞 (C)關閉沖放旋塞 (D)打開沖放旋塞 。
45. 下列何者不是鍋爐底部沖放的適當時機? (A)鍋爐負載較低時 (B)啟動後進行升壓時 (C)鍋爐水雜質沉澱時 (D)升壓至送汽壓力時 。
46. 鍋爐沖放管路上裝有快開閥與慢開閥各一個,在實施底部沖放時,慢開閥的開、閉順序分別為 (A)先開,先關 (B)先開,後關 (C)後開,先關 (D)後開,後關 。
47. 下列何者在使用中不必實施底部沖放? (A)水管式鍋爐 (B)熱媒鍋爐 (C)豎型煙管式鍋爐 (D)機車型鍋爐 。
48. 鍋爐在點火完成後,無論如何均不可使其急劇燃燒,使鍋爐內部壓力很快上升的理由,下列何者是最適切的 (A)會引起鍋爐水的循環惡化 (B)會引起鍋爐效率降低 (C)會引起鍋爐本體不同的膨脹 (D)會引起鍋爐水的異常減少 。
49. 鍋爐於點火完成後,如果無法確認鍋爐水位是否在安全低水位以上時,應(A)實施給水確認水位 (B)排放鍋爐水確認水位 (C)停止運轉 (D)以猛火快升壓 。
50. 以電動機驅動之油泵吐出壓力無法上升至規定值之原因,下列何者錯誤?(A)油泵回轉方向相反 (B)油溫過高有蒸氣發生 (C)壓力表的布頓管破損 (D)電流表電流過高 。
複選題
51. 熱媒鍋爐出入口壓力表,可判斷熱媒油流量,當入口壓力降低時下列說明那幾項是錯誤的 (A)循環泵過濾器阻塞 (B)熱媒油老化黏度增加,電流大,流量大 (C)熱媒油老化黏度增加,電流大,流量小 (D)系統中有水分汽化後泵浦空轉流量增加 。
複選題
52. 熱媒鍋爐的油溫在 270℃時停爐操作,下列說明何項是正確的 (A)電源關閉即可 (B)燃燒系統先關閉停止加熱 (C)循環泵保持運轉,爐內高溫,不致使熱媒油超溫變質、結焦 (D)油溫降到 100~150℃才能關機 。
複選題
53. 有關鍋爐升壓操作之敘述下列何項正確? (A)將蒸汽壓力升至所需壓力之時間,不因鍋爐之種類、大小之差異而不同 (B)鍋爐由冷水開始起動時應快速升壓 (C)蒸汽壓力 1.7kgf/cm2 以上,待空氣完全排除後,再將空氣閥關閉 (D)將過熱器出口集管器之排洩閥充分打開 。
複選題
54. 有關鍋爐水沖放之敘述下列何項正確? (A)水中固形物之沖放,宜每八小時開啓沖放一次 (B)水管鍋爐水冷壁的沖放,在鍋爐運轉中可施行 (C)沖放管裝設一快開閥(旋塞)與慢開閥,兩閥串聯在一起,先開較接近鍋爐之快開閥,再開慢開閥以沖放鍋爐水 (D)當沖放工作完成後,快開閥(旋塞)與慢開閥關閉動作是相反順序 。
複選題
55. 有關彈簧式安全閥調整之敘述下列何項正確? (A)蒸汽壓力超過彈簧之壓力時,閥門便被頂開,蒸汽由此吹洩 (B)調整安全閥時,須從較高壓力開始 (C)一方面看壓力表指示,一方面鎖緊彈簧 (D)反覆施行使達到設計壓力為止 。
複選題
56. 下列有關鍋爐沖放閥之敘述那些正確? (A)鍋爐至少應於底部裝設沖放管與沖放閥或沖放旋塞 (B)貫流鍋爐不在此限 (C)沖放閥之大小應為直徑25mm 以上 65mm 以下,或相當於此規格者 (D)全部沖放閥從關閉狀態至全開必需旋轉五迴轉以上 。
複選題
57. 下列有關鍋爐沖放操作的敘述那些正確? (A)快開閥沖放旋塞與慢開閥(沖放閥)串聯在一起時,前者應先開後關,並微開慢開閥以完成沖放工作 (B)需大量沖放時,應全開快開閥,再快開慢開閥 (C)沖放時,操作人員無法看見水位計時,可先離開去查看水位再回來操作 (D)操作沖放人員在其沖放閥未關閉前,不得離開工作崗位 。
申論題 (0)
相關試卷
114年 - 03100 鍋爐操作 乙級 工作項目 07:安全衛生與環保 51-90(2025/10/16 更新)#132348
114年 · #132348
114年 - 03100 鍋爐操作 乙級 工作項目 07:安全衛生與環保 1-50(2025/10/16 更新)#132347
114年 · #132347
114年 - 03100 鍋爐操作 乙級 工作項目 06:停止運轉操作 1-26(2025/10/16 更新)#132346
114年 · #132346
114年 - 03100 鍋爐操作 乙級 工作項目 05:異狀處理 51-119(2025/10/16 更新)#132345
114年 · #132345
114年 - 03100 鍋爐操作 乙級 工作項目 05:異狀處理 1-50(2025/10/16 更新)#132344
114年 · #132344
114年 - 03100 鍋爐操作 乙級 工作項目 04:正常運轉操作 51-100(2025/10/16 更新)#132343
114年 · #132343
114年 - 03100 鍋爐操作 乙級 工作項目 04:正常運轉操作 1-50(2025/10/16 更新)#132342
114年 · #132342
114年 - 03100 鍋爐操作 乙級 工作項目 02:起動點火操作 1-65(2025/10/16 更新)#132340
114年 · #132340
114年 - 03100 鍋爐操作 乙級 工作項目 01:鍋爐啟用前之檢點 201-234(2025/10/16 更新)#132339
114年 · #132339
114年 - 03100 鍋爐操作 乙級 工作項目 01:鍋爐啟用前之檢點 151-200(2025/10/16 更新)#132338
114年 · #132338