阿摩線上測驗
登入
首頁
>
技檢◆測量-地籍測量-甲級
> 114年 - 04203 測量─地籍測量 甲級 工作項目 01:控制測量 101-150(2025/10/28 更新)#132670
114年 - 04203 測量─地籍測量 甲級 工作項目 01:控制測量 101-150(2025/10/28 更新)#132670
科目:
技檢◆測量-地籍測量-甲級 |
年份:
114年 |
選擇題數:
50 |
申論題數:
0
試卷資訊
所屬科目:
技檢◆測量-地籍測量-甲級
選擇題 (50)
101. 水準儀置於 A,B 兩點之間,觀測得 A、B 兩點水準尺讀數分別為1.235m 及 1.430m,若 B 點高程為 20.750m,問 A 點高程為何? (A)20.555m (B)20.945m (C)21.555m (D)21.945m 。
102. 一南北向環湖之水準路線,平均高程約 200m,湖北端緯度為 42°00'N,水準測量時由北往南測,南端緯度 40°40'N,問正高改正值等於若干?(A)0.012m (B)0.024m (C)0.048m (D)0.060m 。
103. 一水準測量,分別由 A,B 及不同之水準點引測至連接點 E,假設第一條水準路線測站數 9,得 E 點高程 320.48m,第二條水準路線測站數12,得 E 點高程 320.32m,第三條水準路線測站數 4,得 E 點高程320.89m,則 E 點高程為何? (A)320.86m (B)320.76m (C)320.68m (D)320.56m 。
104. 有一封閉之五邊形 ABCDE,∠A=117°36'00",∠B=90°32'00",∠C=142°54'00",∠D=132°18'00",假設各角均已改正,則∠E 應為若干? (A)126°20'00" (B)86°40'00" (C)66°20'00" (D)56°40'00" 。
105. 測站 A 至 B 之方位角為 50°,測站 B 至 C 之偏角為 50°,求測站 C 至測站 B 之方位角為若干? (A)50° (B)230° (C)280° (D)100° 。
106. 有一閉合導線共 5 個導線點,今測得各外角總和為 1260°00'45",則各點之角度閉合差改正值為若干? (A)+9" (B)–9" (C)+7" (D)–7" 。
107. 分別於二已知點 A、B 整置經緯儀觀測∠PAB 與∠PBA,再據以求得 P點之平面位置,此法稱之為何? (A)前方交會 (B)後方交會 (C)側方交會(D)旁點交會 。
108. 以方向組法進行水平角測量,若方向組數為 3,則每次變換度盤時之增量為若干? (A)120° (B)60° (C)45° (D)30° 。
109. 三角形 A,B,C 之坐標分別為
、
,問∠BAC 等於多少? (A)45° (B)55° (C)65° (D)75° 。
110. 三角形 A,B,C 之坐標分別為 (E
A
=-10m,N
A
=30m)、(E
B
=-50m,N
B
=70m)、 (E
C
=-60m,N
C
=30m),問∠ACB 等於多少? (A)14°02'10.5"(B)45°02'10.5" (C)57°57'49.5" (D)75°57'49.5" 。
111. TWD97 與 TWD67 兩坐標系統在二度 TM 投影坐標系統中,二者之橫距約相差多少公尺? (A)300 公尺 (B)500 公尺 (C)800 公尺 (D)1000 公尺 。
112. TWD97 與 TWD67 兩坐標系統在二度 TM 投影坐標系統中,二者之縱距約相差多少公尺? (A)200 公尺 (B)300 公尺 (C)40 公尺 (D)500 公尺 。
113. 下列角度觀測值的加權平均值為多少? 68°42'30" P=1、68°42'22"P=3,68°42'32P=2 ,68°42'25" P=4 (A)68°42'25" (B)68°42'26" (C)68°42'27" (D)68°42'28" 。
114. 需雙頻資料與通訊設備的衛星定位測量方法為何? (A)快速靜態定位 (B)虛擬動態定位 (C)即時動態定位 (D)半動態定位 。
115. 對精密碼的碼結構進行保密,以防敵方進行電子干擾和電子欺騙的技術,稱之為何? (A)SA 效應 (B)AS 效應 (C)RTK 效應 (D)相位效應 。
116. 利用 GPS 衛星定位測量所測得的高程為何種類型? (A)橢球高 (B)正高(C)力高 (D)正常高 。
117. 已知三角形 A、B、C 三個頂點,分別觀測∠A 與∠B 之水平角,假設其觀測之標準誤差均為 10",今以計算方式求∠C 之值,則∠C 之標準誤差約為 (A)6" (B)11" (C)14" (D)17" 。
118. 一倍標準誤差在統計學上出現的機率約為若干? (A)50% (B)68.26% (C)90.00% (D)95.40% 。
119. 超過容許誤差的觀測量,在測量觀測裡出現的機會約為多少? (A)5% (B)10% (C)15% (D)25% 。
120. 三角形之內角愈尖銳,其圖形強度之值如何變化? (A)愈小 (B)愈大 (C)與內角之大小無關 (D)隨內角之減小而遞減 。
121. 下列何項為最小自乘法(least-squares method)之原理? (A)各觀測量改正數和為最小 (B)各觀測量改正數採誤差平均值 (C)各觀測量改正數採加權平均值 (D)各觀測量改正數平方和為最小 。
122. 將各觀測所得之偶然誤差,依大小排列,取居中的一個誤差者稱之為何種誤差? (A)或是誤差 (B)平均誤差 (C)中誤差 (D)標準誤差 。
123. 下列何計算成果為觀測值之標準誤差([]表總和)? (A)
(B)
(C)
(D)
。
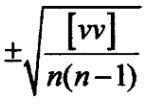
124. 下列何計算成果為觀測值平均值之標準誤差([]表總和)? (A)
(B)
(C)
(D)
。
125. 三角系設置三角點之補點時,補點應與其他幾個以上三角點之方向相互通視? (A)二點 (B)三點 (C)四點 (D)五點 。
126. 在一組未知數之真值間,有固定物理或幾何之條件存在,平差後所得之最或是值能滿足此條件,此種平差方法稱為 (A)直接觀測平差 (B)間接觀測平差 (C)條件觀測平差 (D)高斯約化法 。
127. 一導線邊,其邊長為 80 公尺,水平角誤差為 20 秒,其最大偏差量為何? (A)0.008 公尺 (B)0.012 公尺 (C)0.016 公尺 (D)0.024 公尺 。
128. 量距精度較測角精度低劣時,宜採用之平差方式為何? (A)平均配賦 (B)羅盤法則 (C)經緯儀法則 (D)比例配賦 。
129. 在測區面積不大,地物擁塞之區,欲以有限人力經費作適當之控制測量,以測製大比例尺地圖,以採用下列何法為宜? (A)三角測量 (B)三邊測量 (C)交會點測量 (D)導線測量 。
130. 支導線之主要功能為何? (A)提高幹導線測量精度 (B)為戶地測量作業方便 (C)檢查成果需要 (D)作為地籍調查之用 。
131. 導線邊長 100 公尺,如照準覘標偏離地面點位半公分,則影響于水平角之最大誤差約為若干? (A)5" (B)10" (C)20" (D)40" 。
132. 已知一閉合導線之縱距閉合差Wn=+0.04m,橫距閉合差We=-0.36m 閉合導線之總長為 1555.51m,則閉合比數約為多少? (A)1/3890 (B)1/4290(C)1/4860 (D)1/5400 。
133. 為消除光波測距時空氣之折射率對訊號傳播速度之影響,通常於觀測距離之同時,尚須測量何者以利改正數之計算? (A)氣壓 (B)溫度 (C)溫度與氣壓 (D)溫度與濕度 。
134. 圖根測量時,幹導線至多為多少點? (A)15 (B)20 (C)25 (D)30 。
135. 圖根測量時,支導線至多為多少點? (A)10 (B)15 (C)20 (D)25 。
136. 導線計算時,其縱橫距之閉合差如超出容許誤差時,首先應如何處理?(A)赴實地重新測量 (B)採用精密平差方法改正 (C)計算過程是否有誤重新核算 (D)修改觀測成果 。
137. 閉合導線中,閉合差皆等於零之情況必須為何? (A)縱距閉合差等於零(B)橫距閉合差等於零 (C)縱橫距閉合差皆等於零 (D)與縱橫距閉合差無關 。
138. 縱距閉合差為 0.12 公尺,橫距閉合差為 0.26 公尺時,導線之平面閉合差為何? (A)0.45 公尺 (B)0.37 公尺 (C)0.29 公尺 (D)0.55 公尺 。
139. 實施數值法地籍測量,其幹導線水平角閉合差,不得超過下列何項標準(N 為含起迄二已知點之導線點總數)? (A)1'
(B)1'
+ 1 (C)20"
(D)30"
+ 30" 之限制。
140. 測線之方位角為 190 度時,其位於何象限? (A)第一象限 (B)第二象限 (C)第三象限 (D)第四象限 。
141. 以坐標反算方位角時,縱坐標差為負值,橫坐標差為正值時,其方位角為何? (A)象限角 (B)180°-象限角 (C)180°+象限角 (D)360°-象限角 。
142. A、B 兩點為已知,在未知 P
1
及 P
2
上整置經緯儀,分別觀測 A 及 B點,據以求取 P
1
與 P
2
坐標之方法,稱之為 (A)雙方定位 (B)前方交會 (C)後方交會 (D)測方交會 。
143. 導線測量之選點諸條件中以下列何項為先決條件? (A)邊長近似相等 (B)展望良好便于測圖 (C)前後通視 (D)點位分佈均勻 。
144. 數值地籍測量圖根測量支導線之水平角閉合差不得超過多少? (A)20"
(B)20"
+30" (C)1'
(D)1'
+1' 。(N 為含起訖兩已知點之導線點總數)
145. 數值地籍測量圖根測量,幹導線之位置閉合差不得超過若干? (A)1/1,000 (B)1/2,000 (C)1/3,000 (D)1/5,000 。
146. 導線測量水平角閉合差配賦之原則為何? (A)依方位角之大小成比例 (B)依角度之大小成正比例分配 (C)依邊長大小成比例分配 (D)平均分配 。
147. 導線縱橫距閉合差配賦之原則為下列何項? (A)依邊長與邊長總和之比例分配 (B)依邊長總和與邊長之比例分配 (C)平均分配 (D)依縱橫距與縱橫距總和之比例分配 。
148. 坐標反算方位角時,縱距差為正值、橫距差為負值,其方位角為? (A)象限角 (B)180°-象限角 (C)180°+象限角 (D)360°-象限角 。
149. 圖根測量交會法所用方向線之長度,除因地勢所限,應在距離多少公尺以上? (A)50m (B)100m (C)200m (D)300m 。
150. 數值地籍測量,圖根測量支導線之位置閉合比數最大限制為何? (A)1/500 (B)1/1,000 (C)1/2,000 (D)1/3,000 。
申論題 (0)
相關試卷
114年 - 04203 測量─地籍測量 甲級 工作項目 06:都市計畫樁測量 1-39(2025/10/28 更新)#132680
114年 · #132680
114年 - 04203 測量─地籍測量 甲級 工作項目 05:土地複丈 51-103(2025/10/28 更新)#132679
114年 · #132679
114年 - 04203 測量─地籍測量 甲級 工作項目 05:土地複丈 1-50(2025/10/28 更新)#132678
114年 · #132678
114年 - 04203 測量─地籍測量 甲級 工作項目 04:製圖 1-38(2025/10/28 更新)#132677
114年 · #132677
114年 - 04203 測量─地籍測量 甲級 工作項目 03:計算面積 1-38(2025/10/28 更新)#132676
114年 · #132676
114年 - 04203 測量─地籍測量 甲級 工作項目 02:戶地測量 101-145(2025/10/28 更新)#132675
114年 · #132675
114年 - 04203 測量─地籍測量 甲級 工作項目 02:戶地測量 51-100(2025/10/28 更新)#132674
114年 · #132674
114年 - 04203 測量─地籍測量 甲級 工作項目 02:戶地測量 1-50(2025/10/28 更新)#132673
114年 · #132673
114年 - 04203 測量─地籍測量 甲級 工作項目 01:控制測量 201-262(2025/10/28 更新)#132672
114年 · #132672
114年 - 04203 測量─地籍測量 甲級 工作項目 01:控制測量 151-200(2025/10/28 更新)#132671
114年 · #132671