阿摩線上測驗
登入
首頁
>
技檢◆測量-地籍測量-甲級
> 114年 - 04203 測量─地籍測量 甲級 工作項目 01:控制測量 151-200(2025/10/28 更新)#132671
114年 - 04203 測量─地籍測量 甲級 工作項目 01:控制測量 151-200(2025/10/28 更新)#132671
科目:
技檢◆測量-地籍測量-甲級 |
年份:
114年 |
選擇題數:
50 |
申論題數:
0
試卷資訊
所屬科目:
技檢◆測量-地籍測量-甲級
選擇題 (50)
151. 已知一閉合導線之縱距閉合差 Wn=+0.04m,橫距閉合差 We=-0.36m,閉合導線之總長為 1409.02m,則閉合比數為? (A)1/3890 (B)1/4290 (C)1/4860 (D)1/5400 。
152. 設某函數 Z=S×sina,其中 S=150.11m,中誤差 Ms=±0.05m;a=119°45'00",中誤差 Ma=±20.6"問 Z 的中誤差 Mz? (A)±4.4cm (B)±6.8cm (C)±8.1cm (D)±9.6cm 。
153. 已知 A 點之 E、N 坐標為 Ea=1005.40m,Na=1290.50m,A 點到 B 點之水平距離為 1920.60m,A 點至 B 點方位角ψab=225°30'30",則 B 點坐標為若干? (A)
(B)
(C)
(D)
。
154. 以 30m 的鋼尺丈量 300m 的距離,當每尺段量距的中誤差為±5mm 時,全長的中誤差為? (A)±7.11mm (B)±15.8mm (C)±21.3mm (D)±50.0mm 。
155. 圖根測量以電子測距儀施測距離時,照準觀測目標施測二次,二次差不得超過若干? (A)5mm (B)10mm (C)15mm (D)20mm 。
156. 一距離共量測五次分別為 92.683,92.625,92.702,92.642,92.607(單位公尺),則此距離之最或是值及其中誤差為何? (A)92.652 ±0.018 (B)92.642 ±0.018 (C)92.652 ±0.036 (D)92.642 ±0.036 。
157. 已知三角形 A、B、C 三個頂點,分別觀測∠A 與∠B 之水平角假設其觀測之標準誤差均為 12",今以計算方式求∠C 之值,則∠C 之標準誤差為? (A)6" (B)11" (C)14" (D)17" 。
158. 已知
量測時所得其最或是值之中誤差為0.02m,則
之中誤差為多少? (A)0.02
m (B)0.02/
m (C)0.04/
m(D)0.4m 。
159. 在未知點上設站,觀測三個已知點 A、B、C 的兩個角度α與β,再據以推算未已知點之坐標的方法稱為? (A)前方交會 (B)後方交會 (C)側方交會 (D)光線法 。
160. 電子測距儀施測時,下列何者不屬於其改正項目? (A)頻率偏差改正 (B)氣象改正 (C)曲率改正 (D)多路徑誤差改正 。
161. A、B 兩點間距離約為 200m,現使用捲尺以約等距分 7 段量距 。假設等權規則,每段之觀測中誤差為 34 ㎜,則 AB 全長之中誤差為何?(A)±83 ㎜ (B)±90 ㎜ (C)±204 ㎜ (D)±238 ㎜ 。
162. 天頂距 101°相當於垂直角多少度? (A)79° (B)11° (C)-11° (D)-79° 。
163. 距離為 100 公尺時,量距誤差為 0.01 公尺,為使量距測角精度相當,則測角之精度應約為若干? (A)10 秒 (B)20 秒 (C)30 秒 (D)40 秒 。
164. 於平地用鋼捲尺量距離,往返施測二次,第一次為 36.486 公尺、第二次為 36.498 公尺,依「地籍測量實施規則」下列何者正確? (A)超過誤差限制應重新量測 (B)誤差限制為 20 公釐,成果可用 (C)誤差限制為 15公釐,成果可用 (D)誤差限制為 10 公釐,成果不可用 。
165. 依「地籍測量實施規則」圖根測量時以鋼捲尺量測距離,在地勢起伏地區二次量測之差不超過多少(S 為距離以公尺為單位)? (A)2.5mm
(B)3.2mm
(C)3.8mm
(D)4.2mm
。
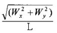
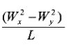
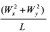
166. 導線閉合比數之計算公式為下列何項?(W
x
為橫距誤差、W
y
為縱距誤差、L 導線全長) (A)
(B)
(C)
(D)
。
167. 一閉合導線橫距之閉合差為 0.06m、縱距之閉合差為 0.08m,導線全長500m,則導線精度為何? (A)1/8350 (B)1/4000 (C)1/5000 (D)1/6250 。
168. 在傾斜地使用鋼卷尺量得 A、B 兩點之斜距為:123.475m,已知 A 點及 B 點之高程為 25.422m 及 18.345m,則 AB 兩點之水平距離等於多少? (A)123.374m (B)123.272m (C)123.454m (D)123.435m 。
169. 一刻劃為 30 公尺之捲尺,與標準尺比較後,其實際長度為 30.05 公尺,今以該尺量得一距離為 187.65 公尺,則該段距離之實際長度為若干? (A)187.96m (B)187.78m (C)187.49m (D)187.37m 。
複選題
170. GPS 衛星定位測量中,下列哪些屬於衛星傳送資料? (A)導航訊息 (B)天頂距離 (C)載波相位距離 (D)電碼距離 。
複選題
171. GPS 衛星定位測量各種誤差中,下列哪些屬於信號傳播誤差? (A)電離層誤差 (B)對流層誤差 (C)多路徑誤差 (D)衛星星曆誤差 。
複選題
172. GPS 衛星測量中,下列哪些載波相位觀測組合存在週波未定值問題?(A)一次差 (B)二次差 (C)三次差 (D)四次差 。
複選題
173. 有關偶然誤差,下列敘述哪些錯誤? (A)在相同的觀測條件下,偶然誤差為常數 (B)在測量階段,採取一定作業方式,可消除偶然誤差 (C)在平差計算前,可利用數學模式消除偶然誤差 (D)偶然誤差為隨機變數 。
複選題
174. GPS 衛星定位測量中,有關電離層延遲,下列敘述哪些錯誤? (A)電離層延遲大小與電磁波頻率無關, (B)相同電磁波頻率,虛擬距離與載波相位之電離層延遲大小與符號皆相同 (C)電離層延遲與測站對 GPS 衛星視線方向之全電子含量無關, (D)電離層延遲與測站地方時有關 。
複選題
175. 依國土測繪法規定,下列哪些屬於測量基準? (A)大地基準 (B)高程基準(C)重力系統 (D)深度基準 。
複選題
176. 依國土測繪法規定,下列哪些屬於參考系統? (A)坐標系統 (B)高程系統(C)重力系統 (D)深度系統 。
複選題
177. 依國土測繪法規定,下列哪些屬於中央主管機關掌理? (A)中央測繪業務之規劃、實施及管理 (B)測量基準及參考系統之訂定 (C)加密控制測量業務之規劃、實施及管理 (D)地名事項之實施及管理 。
複選題
178. 依國土測繪法規定,下列哪些屬於直轄市、縣(市)主管機關掌理? (A)應用測量務之規劃、實施及管理 (B)測量基準及參考系統之訂定 (C)加密控制測量業務之規劃、實施及管理 (D)地名事項之實施及管理 。
複選題
179. 依國土測繪法規定,有關基本測量,下列敘述哪些正確? (A)基本測量之事項含測量基準之測量 (B)基本測量之事項含基本控制測量 (C)基本控制測量應依加密控制測量成果辦理 (D)基本控制測量應依測量基準辦理 。
複選題
180. 依國土測繪法規定,下列哪些屬於應用測量? (A)一等基本控制點測量(B)地籍測量 (C)都市計畫測量 (D)河海測量 。
複選題
181. 依「基本測量實施規則」規定,中央主管機關公告測量基準、參考系統時,應記載下列哪些事項? (A)名稱 (B)基準數據 (C)站址、點位圖說 (D)選點日期 。
複選題
182. 依「基本測量實施規則」規定,中華民國之大地基準為 TWD97,其內容應包含下列哪些事項? (A)參心坐標框架 (B)地心坐標框架 (C)參考橢球體 (D)地圖投影方式 。
複選題
183. 依「基本測量實施規則」規定,有關 TWD97 對於地圖投影方式的規定,下列敘述哪些正確? (A)採用高斯投影二度分帶 (B)採用橫麥卡托投影二度分帶 (C)中央子午線尺度比為 0.9996 (D)台灣地區之中央子午線定於東經 121 度 。
複選題
184. 依「基本測量實施規則」規定,下列哪些測量方法可用以實施基本控制測量? (A)衛星定位測量 (B)水準測量 (C)三角測量 (D)重力測量 。
複選題
185. 依「基本測量實施規則」規定,有關基本控制測量的區分,下列敘述哪些正確? (A)採衛星定位測量方法設置者,稱為三角點 (B)採精密導線測量方法設置者,稱為精密導線點 (C)採水準測量方法設置者,稱為水準點 (D)採重力測量方法設置者,稱為重力點 。
複選題
186. 依「基本測量實施規則」規定,有關衛星控制點之選點原則,下列敘述哪些正確? (A)應設置於透空度良好之位置 (B)應設置於接近高壓電之位置 (C)應設置於衛星訊號接收良好之位置 (D)應設置於接近水面之位置 。
複選題
187. 有關精密導線點之選點原則,下列敘述哪些正確? (A)設置於相鄰各點互相通視之位置 (B)設置於展望良好之位置 (C)設置於地質鬆軟之位置 (D)設置於衛星訊號接收良好之位置 。
複選題
188. 依「基本測量實施規則」規定,下列哪些測量方法可用以實施加密控制測量? (A)衛星定位測量 (B)三角測量 (C)水準測量 (D)三邊測量 。
複選題
189. 依「基本測量實施規則」規定,有關以衛星定位測量方法實施一等基本控制測量之精度規範,下列敘述哪些正確? (A)使用精密星曆 (B)閉合圈中獨立觀測之基線數≧2 (C)各閉合圈中之基線數≦6 (D)閉合圈總邊長≦300 公里 。
複選題
190. 在 A 點設站,觀測 B 點之天頂距為 120 度,下列敘述哪些正確? (A)A點測 B 點之垂直角為仰角 30 度 (B)A 點測 B 點之垂直角為俯角 30 度 (C)A 點測 B 點之垂直角與天頂距之和為 90 度 (D)A 點測 B 點之垂直角與天頂距之和為 180 度 。
複選題
191. 依「基本測量實施規則」規定,有關以三角測量方法實施一等基本控制測量之精度規範,下列敘述哪些正確? (A)邊長測量 4 測回 (B)水平角觀測 16 測回 (C)三角形閉合差之平均值≦1.0 秒 (D)天頂距觀測 2 測回 。
複選題
192. 在 A 點設站,觀測 B 點之垂直角為仰角 30 度,下列敘述哪些正確?(A)A 點測 B 點之天頂距為 30 度 (B)A 點測 B 點之天頂距為 60 度 (C)A 點測 B 點之垂直角與天頂距之和為 180 度 (D)A 點測 B 點之垂直角與天頂距之和為 90 度 。
複選題
193. 依「基本測量實施規則」規定,有關以三邊測量方法實施一等基本控制測量之精度規範,下列敘述哪些正確? (A)幾何圖形之最小角度不得小於 25 度 (B)邊長測量標準誤差為 1/1,000,000 (C)天頂距觀測 3 測回 (D)天文方位角觀測夜數為 2 夜 。
複選題
194. 有關 GPS 衛星定位測量所測得之點位高程,下列敘述哪些正確? (A)GPS 測量所測得之高程為橢球高 (B)GPS 測量所測得之高程為正高 (C)GPS 測量所測得之高程為力高 (D)若已知某點大地起伏,配合 GPS 測量所測得之高程,則可以計算該點的正高 。
複選題
195. 依「基本測量實施規則」規定,有關以精密導線測量方法實施一等基本控制測量之精度規範,下列敘述哪些正確? (A)水平角觀測 16 測回 (B)天頂距對向觀測 3 測回 (C)天文方位角觀測夜數為 2 夜 (D)經方位角平差後之閉合比數不得超過 1/100,000 。
複選題
196. 有關地面上某一點之大地起伏,下列敘述哪些正確? (A)大地起伏為橢球高與正高之和 (B)大地起伏為橢球高與正高之差 (C)大地起伏為橢球高與正高之乘積 (D)若已知某點之橢球高與大地起伏,則可以計算該點的正高 。
複選題
197. 依「基本測量實施規則」規定,有關以衛星定位測量方法實施加密控制測量之精度規範,下列敘述哪些正確? (A)可使用精密星曆或廣播星曆(B)閉合圈中獨立觀測之基線數≧2 (C)各閉合圈中之基線數≦15 (D)閉合圈總邊長≦50 公里 。
複選題
198. 依「基本測量實施規則」規定,有關以三角測量方法實施加密控制測量之精度規範,下列敘述哪些正確? (A)邊長測量 3 測回 (B)使用 1 秒讀儀器水平角觀測 4 測回 (C)三角形閉合差之平均值≦3.0 秒 (D)天頂距觀測 2測回 。
複選題
199. 下列哪些可能會造成 GPS 載波相位觀測量的週波脫落? (A)接收機在多變的環境中運動 (B)GPS 衛星訊號被阻斷 (C)接收機線路瞬間故障 (D)對流層折射效應 。
複選題
200. GPS 衛星定位測量各種誤差中,下列哪些屬於信號傳播誤差? (A)多路徑誤差 (B)電離層誤差 (C)對流層誤差 (D)衛星星曆誤差 。
申論題 (0)
相關試卷
114年 - 04203 測量─地籍測量 甲級 工作項目 06:都市計畫樁測量 1-39(2025/10/28 更新)#132680
114年 · #132680
114年 - 04203 測量─地籍測量 甲級 工作項目 05:土地複丈 51-103(2025/10/28 更新)#132679
114年 · #132679
114年 - 04203 測量─地籍測量 甲級 工作項目 05:土地複丈 1-50(2025/10/28 更新)#132678
114年 · #132678
114年 - 04203 測量─地籍測量 甲級 工作項目 04:製圖 1-38(2025/10/28 更新)#132677
114年 · #132677
114年 - 04203 測量─地籍測量 甲級 工作項目 03:計算面積 1-38(2025/10/28 更新)#132676
114年 · #132676
114年 - 04203 測量─地籍測量 甲級 工作項目 02:戶地測量 101-145(2025/10/28 更新)#132675
114年 · #132675
114年 - 04203 測量─地籍測量 甲級 工作項目 02:戶地測量 51-100(2025/10/28 更新)#132674
114年 · #132674
114年 - 04203 測量─地籍測量 甲級 工作項目 02:戶地測量 1-50(2025/10/28 更新)#132673
114年 · #132673
114年 - 04203 測量─地籍測量 甲級 工作項目 01:控制測量 201-262(2025/10/28 更新)#132672
114年 · #132672
114年 - 04203 測量─地籍測量 甲級 工作項目 01:控制測量 101-150(2025/10/28 更新)#132670
114年 · #132670