阿摩線上測驗
登入
首頁
>
技檢◆下水道設施操作維護-管渠系統-乙級
> 114年 - 08101 下水道設施操作維護─管渠系統 乙級 工作項目 07:抽(揚)水站之操作、維護 51-100(2025/12/04 更新)#134202
114年 - 08101 下水道設施操作維護─管渠系統 乙級 工作項目 07:抽(揚)水站之操作、維護 51-100(2025/12/04 更新)#134202
科目:
技檢◆下水道設施操作維護-管渠系統-乙級 |
年份:
114年 |
選擇題數:
50 |
申論題數:
0
試卷資訊
所屬科目:
技檢◆下水道設施操作維護-管渠系統-乙級
選擇題 (50)
51. 一般巡檢截流站時如何判斷撈污機在自動狀態下是否正常運轉? (A)檢視電壓表指針是否在正常位置 (B)檢視電流表是否正常 (C)檢視運轉小時記錄器是否有運轉 (D)檢視捲揚機的刻度 。
52. 使用夾式安培表,下列何者敘述不正確? (A)需關掉總電源 (B)夾式安培表可測量任何一相之電流 (C)夾式安培表不可同時測量三相總電流 (D)夾式安培表不可同時測量二相電流 。
53. 揚水站之電流表指示高於正常電流值甚多時表示 (A)抽水馬達壽命將盡(B)抽水馬達線圈燒毀 (C)抽水馬達與壓力管脫離 (D)抽水機葉輪有污物卡住 。
54. 使用三用電表量測揚水站之電源是否正常時應將三用電表選擇開關置於何處? (A)AC (B)DC (C)歐姆 (D)DC、MA 檔。
55. 揚水站使用之浮球開關可使用三用電表那一檔判斷是否損壞? (A)AC (B)DC (C)歐姆 (D)DC、MA 檔 。
56. 揚水站之水位控制下列何者錯誤? (A)中水位時只有一台泵動作 (B)高水位時兩台泵同時動作 (C)兩台泵可交替運轉 (D)低水位時泵繼續抽水 。
57. 對於揚水站電氣常識下列何者錯誤? (A)將抽水機之電源線任兩條對調可使馬達反轉 (B)配電箱應裝設接地線且為綠色 (C)大馬力之泵必須裝設Y─△啟動器 (D)手動操作時可使水位低於泵渦流殼下方 。
58. 測量抽水機馬達線圈有無燒毀之敘述何者錯誤? (A)三用電表應置於歐姆檔 (B)線圈若燒毀歐姆值無限大 (C)線圈若無燒毀歐姆值為定值 (D)線圈若無燒毀歐姆值為無限大 。
59. 當巡檢保養維護時,若發現泵無法啟動時,下列何者敘述不正確? (A)用三用電表檢查電源是否正常 (B)檢查保險絲是否燒壞 (C)檢查 3E 電驛是否跳脫 (D)動力電源反接 。
60. 揚水站在自動狀態下,電源及馬達皆正常,中水位時泵卻無法自動抽水,為哪一個水位浮球故障? (A)高水位與中水位 (B)低水位與中水位 (C)超高水位 (D)高水位 。
61. 對於抽揚水站及截流站之敘述下列何者錯誤? (A)抽揚水站站井內壓力管須裝置逆止閥 (B)截流站之功能是截取晴天污水 (C)抽揚水站之功能為提高水頭,使污水以重力流方式流至處理廠 (D)截流站操作之方式為暴雨時期開啟,晴天關閉 。
62. 有關抽揚水站電氣設備,下列何者錯誤? (A)接地線應為紅色 (B)配電盤內之三相電源分別為R相、S相、T相 (C)所有泵皆需裝置 3E 保護電驛,以防止臺電欠相運轉,造成損失 (D)目前揚水站站井內之泵,皆採用三相 220V,及三相 380V 電源 。
63. 當除臭設備之次氯酸鈉少量外溢時,其處理方式下列何者為正確﹖ (A)以大量清水沖釋 (B)用酸性溶液混合 (C)用布或紙等物擦拭 (D)用鹼性溶液混合 。
64. 除臭設備裝置之 pH 及 ORP 偵測棒每週應用酒精或清水清洗一次,另至少每隔多少時間需用適當的清洗劑清洗一次? (A)一個月 (B)三個月 (C)半年 (D)一年 。
65. 除臭設備之洗滌塔內洗滌液每隔多少時間按時排放一次,並更新洗滌液﹖ (A)二週 (B)一個月 (C)二個月 (D)六個月 。
66. 一般將電動吊車移動於貨物重心正上方才吊貨,但因物件之因素仍應在對著吊車豎拉_______度。(A)3 (B)5 (C)7 (D)9
67. 加藥泵初次安裝或維護保養後,第一次現場操作時下列那一項動作有誤? (A)關閉泵空氣排放閥 (B)啟動泵充滿液體 (C)檢查壓力表 (D)調整藥液流量輸出及流速 。
68. 除臭系統中藥液循環泵在操作時,何者非發生故障的原因? (A)泵軸封冷卻系統缺失 (B)泵安裝不正 (C)被藥液腐蝕傳動軸,造成故障 (D)藥液成份不足 。
69. 抽水機依葉輪形狀分類,何者適用於高揚程渦卷抽水機? (A)封密式 (B)開放式 (C)不阻塞式 (D)氣昇式 。
70. 抽水機依葉輪形狀分類,何者適用於低揚程斜流抽水機? (A)封密式 (B)開放式 (C)不阻塞式 (D)氣昇式 。
71. 抽水機依葉輪形狀分類,何者適用於含有纖維質雜物 (A)封密式 (B)開放式 (C)不阻塞式 (D)氣昇式 。
72. 何種泵起動時不需充水 (A)渦卷泵 (B)斜流泵 (C)軸流泵 (D)螺旋泵 。
73. 下列何者非泵運轉中應注意者 (A)壓力表 (B)真空表 (C)電流表 (D)轉速表 。
74. 發電機應每隔多少時間實施保養運轉或負載運轉一次,於查電壓表及週率表之指示值是否準確 (A)每週 (B)每月 (C)每半年 (D)每年 。
75. 依職業安全衛生法相關法規,抽水站之水液位控制浮球開關採用之安全電壓上限為 (A)2.4V (B)24V (C)48V (D)不限制 。
76. 抽水站內為除臭所用之藥液貯槽必須有圍堵,圍堵之空間以貯槽體積(A)0.5 倍 (B)1 倍 (C)1.5 倍 (D)2 倍 為宜。
77. 通過攔污柵之流速在計量流量時為_______以下。 (A)0.3m/s (B)0.45m/s (C)0.6m/s (D)0.75m/s
78. 攔污柵之水頭損失公式
,式中之β為 (A)攔污柵傾斜角 (B)攔污柵之形狀係數 (C)欄污柵之有效間隔 (D)攔污柵之厚度 。
79. 在分流式下水道,每 1000m 污水量應設計_______m 之篩渣量。(A)0.001~0.003 (B)0.0035~0.08 (C)0.08~0.10 (D)0.10~0.15
80. 考量抽水機及污水處理廠操作管理,沉砂池設計去除污水中_______ 以上粒徑之砂粒。(A)0.1mm(B)0.2mm (C)0.3mm (D)0.4mm
81. 通常沉砂池之有效水深為 (A)0m~1m (B)1m~2m (C)2m~4m (D)無限制 。
82. 下列何者非曝氣沉砂池之水力停留時間? (A)0.5 分~1 分 (B)1 分~2 分(C)1 分~3 分 (D)2 分~4 分 。
83. 渦流式沉砂池之水力停留時間為平均日流量 (A)30 秒 (B)1 分鐘 (C)2 分鐘(D)3 分鐘 。
84. 為使抽水機吸水管順暢抽水避免孔蝕,吸水管向下喇叭口與井底之最小距離應保持至少 _______以上。(A)0.5D (B)0.8D (C)1.0D (D)1.5D
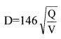
85. 抽水機吸水口徑通常以
決定之,式中 D 之單位為 mm,Q 之單位為 (A)m
3
/秒 (B)m
3
/分 (C)m
3
/時 (D)ft
3
/分 。
86. 計算抽水機出水管管徑時,管內流速通常以 _______為標準。(A)1m/s~1.5m/s (B)1.5m/s~3m/s (C)3m/s~4m/s (D)4m/s~6m/s
87. 發生水錘作用,下列何者為錯 (A)管徑過大 (B)停電 (C)泵急起動 (D)閥門急閉或急開 。
88. 以電極棒控制水位,下列何者較易錯誤動作 (A)漂浮物多 (B)浮渣貼住 (C)砂礫較多 (D)水流速較大 。
89. 浮球起動式控制,下列何者較易發生錯誤動作? (A)流速較大 (B)砂礫多(C)漂浮物多 (D)接點破損 。
90. 抽水機吸水管應避免水平裝置,但無法避免時應儘可能縮短水平管長度並設向抽水機呈_______以上之坡度。 (A)
(B)
(C)
(D)
91. 雨水抽水站內柴油機之輔助設備應有可貯存 _______之燃料箱。(A)12 小時 (B)24 小時 (C)36小時 (D)48 小時
92. 抽水站除臭系統,若以電解食鹽產生次氯酸鈉去除惡臭,其化學反應中,下列何者將被釋放產生,並導致火災或爆炸之虞? (A)Na (B)OCl (C)H
2
(D)Cl
2
。
93. 為使抽水機吸水順暢,避免空氣滲入造成孔蝕,吸水管與管壁間距離,下列何者最佳_______其中 D 為吸水管管徑。 (A)1D (B)2D (C)3D (D)4D
94. 抽水機吸水端之底閥濾器有效通水面積為管面積之_______ 最佳。(A)0.5~1 倍 (B)1~2倍 (C)2~3 倍 (D)3~4 倍
95. 下列何者為減少孔蝕現象發生之正確作法? (A)儘量增加吸入口側之管路水頭損失 (B)泵之位置儘量提高 (C)減少回轉數 (D)運轉範圍開高效率點 。
96. 為利於停電時仍能使閘門上下起動,通常設有以人力旋轉手輪方式操作,通常設計操作手輪之人力以_______為宜。 (A)10~15kg (B)16~20kg (C)21~25kg(D)26~30kg
97. 污水抽水站攔污柵及抽水機等設備除現場手控設備外,其單元控制盤及配電盤以設於_______ 較妥。(A)現場 (B)地下操作室 (C)地下電氣室 (D)地面層以上控制室配電室
98. 測量下水之量水設備,全堰之越流量公式,Q=C‧B‧h 式中 C 值為(A)越流量 (B)堰寬 (C)流量係數 (D)越流水深 。
99. 抽水站之電氣及儀控設備以放置於_______為佳。 (A)地下一樓 (B)地下二樓 (C)地面一樓(D)地面二樓
複選題
100. 有關於抽水機設置不同可達下述何種功能? (A)串聯可以提高揚程 (B)並聯可增加排水量 (C)提高效率可增加抽水量 (D)增大管徑可增加抽水量 。
申論題 (0)
相關試卷
114年 - 08101 下水道設施操作維護─管渠系統 乙級 工作項目 08:截流站操作、維護 1-62(2025/12/04 更新)#134204
114年 · #134204
114年 - 08101 下水道設施操作維護─管渠系統 乙級 工作項目 07:抽(揚)水站之操作、維護 101-123(2025/12/04 更新)#134203
114年 · #134203
114年 - 08101 下水道設施操作維護─管渠系統 乙級 工作項目 07:抽(揚)水站之操作、維護 1-50(2025/12/04 更新)#134201
114年 · #134201
114年 - 08101 下水道設施操作維護─管渠系統 乙級 工作項目 06:管渠及其附屬設備之清理 1-70(2025/12/04 更新)#134200
114年 · #134200
114年 - 08101 下水道設施操作維護─管渠系統 乙級 工作項目 05:管渠及其附屬設備之維護 1-54(2025/12/04 更新)#134199
114年 · #134199
114年 - 08101 下水道設施操作維護─管渠系統 乙級 工作項目 04:管渠及其附屬設備之檢查 51-80(2025/12/04 更新)#134198
114年 · #134198
114年 - 08101 下水道設施操作維護─管渠系統 乙級 工作項目 04:管渠及其附屬設備之檢查 1-50(2025/12/04 更新)#134197
114年 · #134197
114年 - 08101 下水道設施操作維護─管渠系統 乙級 工作項目 03:作業準備 1-43(2025/12/04 更新)#134196
114年 · #134196
114年 - 08101 下水道設施操作維護─管渠系統 乙級 工作項目 02:識圖 1-62(2025/12/04 更新)#134195
114年 · #134195
114年 - 08101 下水道設施操作維護─管渠系統 乙級 工作項目 01:下水道相關法規 101-144(2025/12/04 更新)#134194
114年 · #134194