所屬科目:技檢◆氣壓-丙級
1. 某一電磁閥之額定電壓為 AC110V,若其功率為 20W,則欲使閥變位,其電流至少應為 (A)0.1A (B)0.5A (C)1A (D)0.2A。
2. 下列何者無法防止壓力管路輕微洩漏? (A)加裝氣壓管 (B)塗佈黃油 (C)加裝 O 形環 (D)包紮止洩帶。
3. 尖嘴鉗夾上元件接腳而後焊接之主要目的為 (A)防止高溫損壞元件 (B)防止燒傷相鄰元件 (C)方便 (D)防止手燙傷。
4. 開口扳手上所刻的尺寸是指 (A)導程 (B)螺帽的大小 (C)螺紋外徑 (D)螺距。
5. 左圖是控制氣壓缸之 (A)出力大小 (B)操作壽命 (C)移動方向 (D)速度快慢。
6. 左圖表示 (A)矩陣燈泡 (B)LCD (C)七段顯示器 (D)LED。
7. 真空幫浦的符號是 (A)(B)(C)(D) 。
8. 下列直流電壓檔,何者內阻最高? (A)10V (B)250V (C)1000V (D)50V。
9. 用三用電錶之直流電壓來測量交流電壓之結果 (A)部份電阻會受損 (B)在零位置左右振動 (C)電錶可能受損 (D)相當準確。
10. 下圖氣壓缸若以推出重物伸出方向為主要工作行程(需考量連結螺絲機械應力),其安裝的方式以何種型式為宜?
(A)前、 後腳座型(LB)+滑軌 (B)前耳軸型(TA) (C)前法蘭型(FA) (D)後法蘭型(FB) 之安裝方式。
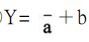
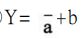
11. 左圖之邏輯表示是 (A) (B) (C)Y=ab (D)Y=a+b。
12. 測量電磁繼電器之接點是否正常,不可使用 (A)數位電錶 (B)三用電錶 (C)相序計 (D)導通試驗器。
13. 氣壓馬達在什麼情況也會發生〝滯滑〞(Stick-slip)現象? (A)低壓力 (B)高轉速 (C)啟動 (D)低轉速 使用時。
14. PT 牙的氣壓接頭其斜度為 (A)90° (B)29° (C)17° (D)0°。
15. 左圖之邏輯表示 (A) (B)(C)(D)。
16. 下列何者不是自來水消毒採用的方式? (A)加入二氧化碳 (B)加入臭氧 (C)加入氯氣 (D)紫外線消毒。
17. 此符號代表的是 (A)單向氣壓馬達 (B)單輸出空壓機 (C)雙輸出空壓機 (D)雙向氣壓馬達。
18. 單活塞桿雙動氣壓缸,外伸比縮回動作速度 (A)快 (B)一樣 (C)慢 (D)快一倍。
19. 直動式機械閥所須的作動力,與下列何者有關? (A)壓縮空氣的壓力大小 (B)作動快慢 (C)流量 (D)氣壓管尺寸。
20. 測量電磁閥之線圈是否正常,三用電錶應撥在 (A)DCmA 檔 (B)ACV 檔 (C)歐姆檔 (D)DCV 檔。
21. 油霧器的安裝位置 (A)儘量靠近潤滑對象 (B)和潤滑對象的遠近無關 (C)應裝在比潤滑對象低的位置 (D)應遠離潤滑對象。
22. 左圖為人力控制之何種符號? (A)腳踏控制 (B)按鈕控制 (C)手柄搖動控制 (D)通用符號。
23. 濾芯為燒結銅或樹脂的過濾器不可以過濾 (A)顆粒較大的粒狀物 (B)水滴 (C)灰塵 (D)水蒸氣。
24. 氣壓缸在低速運動時會產生顫動,其原因是 (A)壓力太高 (B)壓力太低 (C)空氣中的雜質太高 (D)空氣的壓縮性。
25. 下列何者可用於測量內孔、凹槽? (A)外卡 (B)尖頭分厘卡 (C)單腳卡 (D)移距式內卡。
26. 過濾器利用濾蕊除去雜質外,尚利用哪一種現象除去雜質? (A)離心力 (B)光合 (C)化合 (D)電磁力。
27. 公共汽車自動開閉門係利用壓縮空氣做______之應用。 (A)簡諧運動 (B)圓周運動 (C)間歇運動 (D)直線運動
28. 換向閥反應時間,直動型比導壓型 (A)慢 (B)快 (C)無法比較 (D)相同。
29. 左圖為何種邏輯符號?______邏輯氣壓閥。 (A)YES (B)AND (C)PULSE (D)NOT
30. 雙動氣壓缸之運動速度與下列何者無關? (A)排放管路直徑 (B)活塞摩擦阻力 (C)氣壓缸之行程 (D)工作管路長度。
31. S.I 單位系統中(國際制單位系統)常用壓力單位為 (A)Pa (B)kg/cm2 (C)Psi (D)N-m。
32. 根據消除對婦女一切形式歧視公約(CEDAW)之間接歧視意涵,下列何者錯誤? (A)如果未正視歧視之結構和歷史模式, 及忽略男女權力關係之不平等,可能使現有不平等狀況更為惡化 (B)一項法律、政策、方案或措施表面上對男性和女性 無任何歧視,但實際上卻產生歧視女性的效果 (C)察覺間接歧視的一個方法,是善加利用性別統計與性別分析 (D)不論在 任何情況下,只要以相同方式對待男性和女性,就能避免間接歧視之產生。
33. 考量機械操作者之作業安全,宜採用下列何種閥件? (A)梭動閥 (B)單向節流閥 (C)雙壓閥 (D)單向止回閥。
34. 下圖符號為
(A)空氣壓縮機雙向固定排量 (B)空氣壓縮機單向固定排量 (C)空氣壓縮機單向變動排量 (D)空氣壓縮機雙向變 動排量。
35. 家庭用電最大宗來自於 (A)空調及照明 (B)吹風機 (C)電腦 (D)電視。
36. 職業安全衛生法所稱有母性健康危害之虞之工作,係指對於具生育能力之女性勞工從事工作,可能會導致的一些影響。 下列何者除外? (A)胚胎發育 (B)經期紊亂 (C)哺乳期間之幼兒健康 (D)妊娠期間之母體健康。
37. 氣壓缸更換修理包組立時,活塞環應 (A)保持清潔 (B)加潤滑油 (C)加特殊油脂 (D)加牛油。
38. 依職業安全衛生法規定,事業單位勞動場所發生死亡職業災害時,雇主應於多少小時內通報勞動檢查機構? (A)8 小時 (B)48 小時 (C)12 小時 (D)24 小時。
39. 此符號代表的是 (A)負壓壓力開關 (B)電氣極線開關 (C)3/2 電磁閥 (D)正壓壓力開關。
40. 以軟管連接氣動工具或設備,當有突發狀況時,除關閉工具設備之開關外,尚應 (A)切斷電源 (B)找原因 (C)拋棄設備或工 具 (D)彎折軟管線氣壓源。
41. 空壓機、儲氣桶及乾燥機等設備,理想的裝配順序應是 (A)空壓機乾燥機儲氣桶 (B)空壓機儲氣桶乾燥機 (C)乾燥機儲氣桶 空壓機 (D)乾燥機空壓機儲氣桶。
42. 水費的計量單位是「度」,你知道一度水的容量大約有多少? (A)3 立方公尺的水量 (B)2,000 公升 (C)3000 個 600cc 的寶 特瓶 (D)1 立方公尺的水量。
43. 對於噪音之量測,下列何者錯誤? (A)測量低頻噪音時,僅限於室內地點測量,非於戶外量測 (B)可於下雨時測量 (C)風速 大於每秒 5 公尺時不可量測 (D)聲音感應器應置於離地面或樓板延伸線 1.2 至 1.5 公尺之間。
44. 氣壓調理組的檢查週期為 (A)依檢點表規定 (B)每月 (C)每天 (D)每週。
45. 左圖為何種控制符號? (A)氣壓釋壓 (B)彈簧 (C)氣壓加壓 (D)柱塞控制。
46. 下列哪一項是我們在家中常見的環境衛生用藥? (A)體香劑 (B)洗滌劑 (C)乾燥劑 (D)殺蟲劑。
47. 瓦斯管線的減壓閥應該採用 (A)直動式附洩放孔 (B)引導作動式附洩放孔 (C)無洩放孔 (D)附洩放孔 的構造。
48. 一般游標卡尺,無法直接量測的是 (A)內徑 (B)深度 (C)外徑 (D)真圓度。
49. 發現氣壓噴口有凝結水發生,欲消除此現象應該 (A)換粗管線 (B)加裝乾燥機 (C)加裝濾蕊 (D)換減壓閥。
50. 潤滑器滴油量的多寡,因何而定? (A)耗氣量 (B)使用壓力 (C)環境溫度 (D)潤滑油種類。
51. 下圖符號是表示
(A)自動放水乾燥機 (B)自動放水集水器 (C)手動放水乾燥機 (D)手動放水集水器。
52. 角尺無法檢驗工作物的 (A)檢驗平面 (B)檢驗曲度 (C)檢驗直角度 (D)檢驗垂直度。
53. 下圖為無桿氣壓缸,較一般型雙動缸有何特點?
(A)超慢速可得較穩定的移動速度 (B)可承受較大的側向力量 (C)有較大的 推出力量 (D)有較大的拉回力量。
54. 三用電錶量測交流電壓為其 (A)最大值 (B)最小值 (C)平均值 (D)有效值。
55. 在氣壓系統中,電磁閥的線圈在選用時,要考慮的因素之一是 (A)氣壓缸的速度 (B)氣壓缸的空氣消耗量 (C)氣壓缸的內徑 (D)氣壓缸的作動頻率。
56. 使用起子時 (A)選擇適合尺寸之起子 (B)十字起子可當一字起子使用 (C)十字起子刃部要磨尖 (D)一字起子刃部要磨尖。
57. 精度 1/20 之游標卡尺,可讀出的最小尺寸為 (A)0.02 (B)0.2 (C)0.05 (D)0.10 ㎜。
58. 〝慢啟閥〞(Slowly rising pressure valve)一般均用於氣源供應處,其主要目的為何? (A)使氣壓系統氣源在壓力建立時, 能快速升壓的即時作用 (B)在氣壓使用過程中,系統壓力能穩定,不會產生波動現象 (C)使氣壓系統氣源壓力在消除時, 能有緩慢降壓的安全作用 (D)使氣壓系統氣源在壓力建立時,能有緩慢升壓的安全保護作用。
59. 有關商標權的敘述,下列何者錯誤? (A)商標註冊後,3 年不使用,會被廢止商標權 (B)商標註冊後可取得 10 年商標權 (C)在夜市買的仿冒品,品質不好,上網拍賣,不會構成侵權 (D)要取得商標權一定要申請商標註冊。
60. 因為空氣具有可壓縮性,故如欲獲得較佳的定位精度,宜採用下列何種氣壓缸? (A)剎車缸 (B)雙動單桿缸 (C)超薄缸 (D) 單動缸。
61. 冰箱在廢棄回收時應特別注意哪一項物質,以避免逸散至大氣中造成臭氧層的破壞? (A)冷媒 (B)汞 (C)甲醛 (D)苯。
62. 高阻計(Megger)是用來測量 (A)電壓 (B)接地電阻 (C)絕緣電阻 (D)電流 之儀錶。
63. 110VAC 電磁閥的使用電源電壓上限為 (A)121V (B)123V (C)132V (D)99V。
64. 請問下列何者非為個人資料保護法第 3 條所規範之當事人權利? (A)查詢或請求閱覽 (B)請求刪除他人之資料 (C)請求補充 或更正 (D)請求停止蒐集、處理或利用。
65. 單線圈內引導式電磁閥的最低切換壓力為______kg/cm2。 (A)-1 (B)1 (C)3 (D)0
66. 表示排放管之符號,下列何者正確? (A) (B)(C)(D) 。
67. 左圖是 (A)減數計數器 (B)累計計數器 (C)差數計數器 (D)加數計數器。
68. 節流閥使用時,應安裝距氣壓缸何處? (A)無所謂 (B)中間位置 (C)愈近愈好 (D)愈遠愈好。
69. 左圖為氣壓缸之______ 接頭。(A)L 型 (B)I 型 (C)Y 型 (D)T 型
70. 滑動用之 O 型環稱呼為______型規格。 (A)B (B)O (C)A (D)P
71. 關於建築中常用的金屬玻璃帷幕牆,下列敘述何者正確? (A)玻璃帷幕牆適用於臺灣,讓夏天的室內產生溫暖的感覺 (B) 玻璃帷幕牆的使用能節省室內空調使用 (C)臺灣的氣候濕熱,特別適合在大樓以金屬玻璃帷幕作為建材 (D)在溫度高的國 家,建築物使用金屬玻璃帷幕會造成日照輻射熱,產生室內「溫室效應」。
72. 繼電器之使用壽命以什麼估算? (A)作動次數 (B)接點數量 (C)使用電力 (D)通電時間。
73. 欲調整氣壓缸的出力,宜採用下列何種閥件? (A)單向節流閥 (B)調壓閥 (C)單向止回閥 (D)方向閥。
74. 電磁閥的額定流量值,指何種狀態下的氣體? (A)絕對壓力 (B)真空壓力 (C)標準大氣壓力 (D)錶壓力。
75. 腕道症候群常發生於下列何種作業? (A)潛水作業 (B)電腦鍵盤作業 (C)堆高機作業 (D)第一種壓力容器作業。
76. 如欲利用氣壓缸進行加壓、衝邊、衝孔及鉚合等作業,宜採用下列何種氣壓缸? (A)並連式氣壓缸 (B)剎車氣壓缸 (C)衝擊 式氣壓缸 (D)不旋轉缸。
77. 洗碗、洗菜用何種方式可以達到清洗又省水的效果? (A)將適量的水放在盆槽內洗濯,以減少用水 (B)用熱水及冷水大量 交叉沖洗達到最佳清洗效果 (C)對著水龍頭直接沖洗,且要盡量將水龍頭開大才能確保洗的乾淨 (D)把碗盤、菜等浸在水 盆裡,再開水龍頭拼命沖水。
78. 常壓系統壓力為 3~8 kgf/cm2,指系統中間接控制閥類的最低操作壓力為______kgf/cm2。 (A)10 (B)8 (C)3 (D)1
79. 有關智慧財產權行為之敘述,下列何者有誤? (A)原作者自行創作某音樂作品後,即可宣稱擁有該作品之著作權 (B)著作 權是為促進文化發展為目的,所保護的財產權之一 (C)以 101 大樓、美麗華百貨公司做為拍攝電影的背景,屬於合理使 用的範圍 (D)製造、販售仿冒註冊商標的商品雖已侵害商標權,但不屬於公訴罪之範疇。
80. 對於感電電流流過人體可能呈現的症狀,下列敘述何者有誤? (A)強烈痙攣 (B)造成組織灼傷 (C)血壓降低、呼吸急促、精 神亢奮 (D)痛覺。