所屬科目:水資源工程學
一、請說明氣候變遷對臺灣水資源環境的可能衝擊與調適策略。 (20 分)
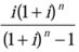
二、擬建一輸水道,今有兩個替代計畫,若 i=6%,請問選擇下列那一方案較為經濟?(20 分)計畫甲:一隧道,建造成本 600,000 元,年維護費 4,000 元,估計壽命 100 年。計畫乙(包含 A、B、C 三子項):A 渠道(不含內面工),建造成本 120,000 元, 估計壽命 100 年。B 內面工,建造成本 50,000 元,估計壽命 20 年。C 渡 槽,建造成本 90,000 元,年維護費 10,500 元,估計壽命 50 年。(已知資金回收因子CRF=)
三、水力發電是綠色能源,沒有污染,請論述水力發電廠開發規劃設計步驟。 (20 分)
四、集水區降雨流模擬時,需先估算超滲降雨,請舉例說明三種以上常用的 入滲/超滲降雨估算方法。(20 分)
(一)堤防於任一年發生溢堤之機率。
(二)堤防於 3 年內未發生溢堤之機率。
(三)堤防於 3 年內發生 1 次溢堤之機率。
(四)堤防僅於第 3 年發生溢堤之機率。