所屬科目:研究所、轉學考(插大)◆綜合化學
1. How many angular nodes are there in all orbitals of the shell n = 4 for a hydrogen atom? (A) 34 (B) 21 (C) 48 (D) 24 (E) 3
2. The wavefunction of a hydrogen atom is equal to , where is the radial wavefunction and is the angular wavefunction. What is the probability density of find an electron at the distance d from the nucleus in the 3s-orbital of a hydrogen atom? (A) (B)(C) (D)(E) None of the above answers are correct.
3. For the ground-state of , what type of orbital do the electrons with the highest energy reside in? (A) 6s (B) 5p (C) 4f (D) 6p (E) 5d
4. Arrange the following atoms in order of increasing first ionization energy (from least to greatest): Be, B, N, O, F. Which of the following sequences is correct? (A) Be<B<N<O<F (B) B<Be<O<N<F (C) B<O<Be<N<F (D) B<Be<N<O<F (E) Be<B<O<N<F
5. Which compound has the largest ONO bond angle? (A) (B) (C) (D) N2O4 (E) N2O3
6. Which compound has a molecular shape that is trigonal bipyramidal? (A) BF3 (B) PF3 (C) SF6 (D) (E) BrF5
7. Which of the following diatomic species is paramagnetic, has a bond order of 1.5, and is classified as a radical? (A) (B) (C) B2 (D) CN (E) NO
8. What is the hybridization of the bolded atoms NNC, from left to right, in azodicarbonamide, H2NC(O)NNC(O)NH2? (A) sp³, sp, sp² (B) sp², sp, sp³ (C) sp², sp, sp² (D) sp, sp, sp² (E) sp², sp², sp²
9. A solid is found to be extremely hard, has a very high melting point, is insoluble in water, and does not conduct electricity in any state. Based on these properties, which of the following solids does it most likely represent? (A) CaCl2 (B) I2 (C) graphite (D) Pb (E) SiC
10. A metal Z with atomic radius r forms a cubic close-packed structure. Which formula correctly calculates the radius of the largest sphere that can fit in an octahedral hole without pushing any atom Z apart? (A) r(√2-1) (B) r(2√2-1) (C) r(√3-1) (D) r(3/√3-1) (E) r/(2√2-1)
11. There are several resonance structures of sulfate ions. Which statement about the most stable Lewis structure of the sulfate ion is invalid? (A) The sulfate ion has a tetrahedral geometry. (B) The sulfate ion is nonpolar. (C) The overall charge of the sulfate ion is 0 in the most stable Lewis structure. (D) All sulfur-oxygen bonds are equivalent. (E) The sulfur atom has an expanded octet.
12. Why is CO slightly polar, but not strongly polar, despite the significant electronegativity difference between carbon and oxygen? (A) The triple bond between carbon and oxygen is highly polar, but the molecule's symmetry reduces the overall polarity. (B) The triple bond in CO eliminates any dipole moment, as it localizes electrons equally between the two atoms. (C) Both carbon and oxygen have formal charges of zero, making the molecule nonpolar despite the electronegativity difference. (D) The electronegativity difference between carbon and oxygen is large, but the formal charge distribution reduces the effective dipole moment. (E) The molecule has a linear geometry, causing the bond dipoles to cancel each other out.
13. One ionic crystal structure contains two ions, . ions occupy the face-centered cubic lattice points, and ions occupy all the tetrahedral holes. Which statement is invalid? (A) The ionic radius of is larger than the ionic radius . (B) The coordination numbers of and F- are 12 and 8 respectively. (C) The relation between the edge length a of the unit cell and is equivalent to a * √3/4 = . (D) There are 4 ions and 8 F- ions in a unit cell. (E) The empirical formula of the ionic crystal structure is CaF2.
14. Which is not the valid statement? (A) 2SO3(g) → 2SO2(g) + O2(g) > 0, the reaction is spontaneous at high temperatures and is entropy driven. (B) 2C(s) + 2H2(g) → C2H4(g) > 0, the reaction will be spontaneous at low temperatures and is entropy driven. (C) 2NO(g) + O2(g) → 2NO2(g) < 0, the reaction will be spontaneous at low temperatures and is enthalpy driven. (D) N2H4(l) + O2(g) → N2(g) + 2H2O(g) < 0, the reaction will be spontaneous at all temperatures. (E) Water slowly evaporates at 25°C. This is a spontaneous reaction that is entropy driven.
15. A real gas behaves non-ideally under certain conditions and can be described by the van der Waals equation of state. Which of the following statements best explains the relationship between the compression factor Z, van der Waals' coefficients a and b, and deviations from ideal gas behavior? (A) For a gas with large a and small b, Z is always greater than 1, indicating the dominance of repulsive forces over attractive forces. (B) At low pressures, the effect of b dominates, causing Z to decrease below 1 due to volume corrections. (C) For a gas with large a, Z decreases below 1 at moderate pressures due to the strong attractive interactions between molecules. (D) At high pressure, the influence of both a and b diminishes, and Z becomes independent of these coefficients, matching ideal gas behavior. (E) Z is always less than 1 for any gas described by the van der Waals equation, regardless of the values of a and b.
16. Consider a gas in thermal equilibrium at two different temperatures, T₁ and T2, where T2 > T1. Which of the following statements best explains the interplay between the Maxwell-Boltzmann distribution, temperature, and entropy for this system? (A) At T2, the Maxwell-Boltzmann distribution shifts to lower particle speeds, and entropy decreases because there are fewer accessible microstates. (B) At T2, the Maxwell-Boltzmann distribution becomes broader, indicating a greater range of particle speeds and an increase in entropy due to more accessible microstates. (C) The Maxwell-Boltzmann distribution remains unchanged between T1 and T2 because the distribution depends only on the mass of the particles, not the temperature. (D) At T1, the narrower Maxwell-Boltzmann distribution corresponds to higher entropy, as lower temperatures increase the uniformity of particle speeds. (E) Entropy remains constant between T1 and T2 because it is a state function independent of temperature changes.
17. Consider the thermodynamic properties, U, , T, H, w, , how many of them are not state functions? (A) 6 (B) 5 (C) 4 (D) 3 (E) 2
18. Assume that CH4 behaves as an ideal gas and its heat capacity is mainly contributed by translational and rotational motion but none of vibrational ones. Consider the irreversible compression of 1 mole of CH4 from an initial state at P₁ = 1 bar and T₁ = 300 K to a final state at P2 = 4 bar, T2 = 400 K, against a constant external pressure of Pext = 4 bar. What is the heat transfer q during the process? (A) 2494.2 J (B) 4157.0 J (C) 6651.2 J (D) -6651.2 J (E) -4157.0 J
19. Given the standard enthalpies of formation for Br2(g) and Br(g), 30.7 and 112 kJ/mol respectively, what is the Br-Br bond enthalpy? (A) 81.3 kJ/mol (B) 193.3 kJ/mol (C) 142.7 kJ/mol (D) 254.7 kJ/mol (E) 112 kJ/mol
20. Which is not the valid thermodynamic equation? (A) U = H - PV (B) S = ‧ln(W) (C) H = G + ST (D) A = U-ST (E) + RT ln (K)
21. For CaCl2, the absolute value of the enthalpy of hydration is larger than the lattice enthalpy. This means that for CaCl2 (A) the enthalpy of solution is exothermic. (B) the lattice enthalpy is negative. (C) the enthalpy of hydration is positive. (D) the entropy changes of solution is smaller than 0. (E) the solubility increases when the temperature increases.
22. A mixture of two liquids, A and B, forms a minimum boiling azeotrope. Which of the following statements is correct regarding this mixture? (A) The vapor pressure of the mixture is lower than that predicted by Raoult's law. (B) The intermolecular forces between A and B molecules are stronger than those between A-A and B-B molecules. (C) Fractional distillation may be used to completely separate A and B from the azeotropic mixture. (D) The boiling point of the azeotrope is lower than that of either pure A or pure B. (E) The above statements are all correct.
23. Which of the following statements is true? (A) When the value of reaction quotient Q is large, the equilibrium lies on the product side of the equilibrium reaction. (B) An equilibrium constant value significantly less than 1 indicates that the equilibrium concentrations of the products are much smaller than those of the reactants. (C) When the value of K is large, the equilibrium lies on the reactant side of the equilibrium reaction. (D) A large value of Q means that the equilibrium concentrations of the reactants are small compared to the equilibrium concentrations of the products. (E) When the value of Q is small, the forward reaction is spontaneous.
24. What is the relationship between Kp and Kc for the reaction below?
N2H4(l) + O2(g) → N2(g) + 2H2O(g) (A) (B)(C) (D)(E)
25. At constant temperature, consider a equilibrium reaction,
3 Fe(s) + 4 H2O(g) ⇌ 4 H2(g) + Fe3O4(s). If the volume of the container is reduced (A) is increased. (B) is decreased. (C) is increased. (D) is decreased. (E) The above answers are all incorrect.
26. The reaction 2 NO(g) + 2 H2(g) → N2(g) + 2 H2O(g) is first order in H2 and second order in NO. Starting with equal concentrations of H2 and NO, the rate after 30% of the H2 has reacted is what percent of the initial rate? (A) 3% (B) 27% (C) 34% (D) 49% (E) 70%
27. The superheavy synthetic element Tennessine (Ts) is the most recently discovered element so far. The nuclear fusions reaction for producing Ts:
Berkelium (Bk) used in this reaction is also a synthetic element. What is the element X? (A) (B)(C) (D)(E)
28. Which of the following amino acids has a thiol side chain and forms disulfide bonds that play an important role in the folding and stability of proteins (A) asparagine (B) cysteine (C) lysine (D) methionine (E) threonine
29. The high density (> 19 g/cm³) of tungsten, rhenium, osmium, iridium, platinum, and gold metals is due to (A) Born-Oppenheimer approximation (B) iron group effect (C) island of stability theory (D) lanthanide contraction (E) lazy pair effect
30. The rate law for the following mechanism is
Cl2(g) ⇌ 2 Cl(g) both fast, equilibrium constant K1,
Cl(g) + CO(g) ⇌ COCl(g) both fast, equilibrium constant K2
COCl(g) + Cl2(g) → COCl2(g) + Cl(g) k3, slow
(A) (B)(C) rate = k3K1K2Cl2 (D) rate = k3CO (E) rate = K1K2k3[CO]
31. In the reaction mechanism in Question 30, (A) COCI is the activated complex. (B) COCI is the steady state between step 2 and 3. (C) both Cl atom and COCl are reaction intermediates. (D) the transition state is the mixture of Cl2(g), Cl(g), and CO(g). (E) Cl atom is not the reaction intermediate, because it is very unstable.
32. How many of the structural isomers of C6H14 have only primary and tertiary hydrogens? (A) 0 (B) 1 (C) 2 (D) 3 (E) 4
33. Which of the following descriptions about is not correct? (A) The ligand field splitting Δo of is smaller that that of (B) The ground-state d-electron configuration of is t2g5eg2. (C) has 3 unpaired electrons. (D) is paramagnetic. (E) is low-spin.
34. What are the products of the electrolysis of 1 M CuSO4 aqueous solution? (A) H2(g) and (B) H2(g) and O2(g) (C) Cu(s) and S(s) (D) Cu(s) and O2(g) (E) SO2(g) and O2(g)
35. Which of the following aromatic compounds undergo nitration faster than benzene? [i] aniline [ii] benzonitrile [iii] benzoic acid [iv] phenol [v] benzaldehyde (A) [i] and [ii] (B) [i] and [iv] (C) [iii] and [v] (D) [i], [ii], and [iv] (E) [iii], [iv], and [v]
36. How many of the following oxides of Group 13, 14, and 15 elements are amphoteric?
As2O3, Ga2O3, PbO, Sb2O3, SnO2, Tl2O (A) 1 (B) 2 (C) 3 (D) 5 (E) 6
37. Which of the following are coordination isomers?? (A) cis-[CoCl2(en)2]Cl and trans-[CoCl2(en)2]Cl (B) [CrCl(OH2)5]Cl2·H2O and [CrCl2(OH2)4]Cl·2H2O (C) [CONCS(NH3)5]Cl2 and [COSCN(NH3)5]Cl2 (D) Cr(NH3)6][Fe(CN)6] and Fe(NH3)6] [Cr(CN)6](E) [CoBr(NH3)5]SO4 and [COSO4(NH3)5]Br
38. The enzymatic oxidation of ethanol to acetaldehyde in human body is a zeroth-order reaction:
The blood alcohol concentration (BAC) of a man who drank some wine drops from 120 mg/dL to 60 mg/dL within 2.0 hours. How much time is required for his BAC drops from 60 mg/dL to 30 mg/dL? (A) 45 min (B) 1.0 hour (C) 2.0 hours (D) 3.3 hours (E) 4.0 hours
39. The Cu2+ ion can be separated from , and + in aqueous solution by (A) precipitation of with Na2S solution (B) precipitation of with NaF solution (C) precipitation of , and with Na2CO3 solution (D) precipitation of , , and with NaOH solution (E) None of above methods.
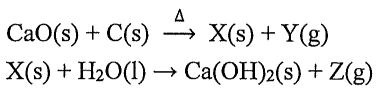
40. What are X, Y, and Z in the following reactions?
The reactions are not balanced. (A) X = Ca, Y = CO2, Z = H2 (B) X = Ca, Y = CO, Z = H2 (C) X = CaC, Y = CO2, Z = CH4 (D) X = CaC2, Y = CO, Z = C2H2 (E) X = CaC2, Y = CO, Z = CH4
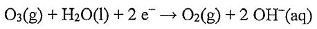
41. Ms. Usagi wants to determine the standard potential of ozone.
She uses a saturated calomel electrode (SCE) as the anode, and for the cathode she bubbles O3 gas through a NaOH solution with a Pt electrode. The cell diagram should be expressed as:
(A) (B)
(C)(D)(E)
42. Estimate the effective pH range of a pyridine/pyridinium chloride buffer. For pyridine, the value of is 1.8×. (A) 4.3-6.3 (B) 5.3-7.3 (C) 7.7-9.7 (D) 8.5-9.0 (E) 9.2-11.2
43. Which of the following compounds can not be a monomer of an addition polymer? (A) styrene (B) ethyne (C) adenine (6-aminopurine) (D) 2-chloro-1,3-butadiene (E) methyl 2-methylpropenoate (methyl methacrylate)
44. Which of the following reactions is not feasible? (A) 2 FeTiO3 + 7 Cl2 + 6 C → 2 TiCl4 + 2FeCl3 + 6 CO (B) TiCl4+2 Mg → Ti + 2 MgCl2 (C) V2O5 + 5 Ca→2V + 5 CaO (D) Cr2O3 + 3 Cu → 2 Cr + 3 CuO (E) NiO + H2 → Ni + H2O
45. The lattice enthalpies of ionic compounds of fluoride tends to be very high because (A) the ionic radius of fluoride ion is small. (B) fluoride is a "soft" anion. (C) the electron affinity of fluorine is high. (D) fluoride ion is a weak field ligand. (E) the standard reduction potential of fluorine is high.
46. At 298 K, the ΔG° for combustion of 1 mole of CH4(g) is -818 kJ, calculate the standard voltage that could be obtained from a methane-oxygen fuel cell using this reaction. (A) 1.06 V (B) 1.41 V (C) 2.12 V (D) 8.48 V (E) -2.12 V
47. Why does the oxygen isotopic composition in the ice cores provide a good record of the climate? (A) is a more powerful greenhouse gas than . (B) The -water dissolves a little more CO2 than -water. (C) The half-life of radioactive is a function of temperature. (D) The more intense the sun's nuclear fusion reaction, the more will be produced. (E) There are slight differences in the evaporation and condensation of .
48. Any chemicals added to a waste container must not react with one another or result in unsafe conditions at any time during handling, storage, or while being shipped to a disposal facility. The followings are incompatible chemicals and should not be added to the same waste container, except (A) H2O2 and H2SO4 (B) Al and NaOH (C) HCl and Na2S (D) oleic acid and xylene (E) ethanol and KMnO4
49. Which of the followings is not the property of saline hydrides? (A) They react with water. (B) They are oxidizing agents. (C) They can be used as strong bases. (D) The atoms of a saline hydride are bonded ionically. (E) They are insoluble in low polarity organic solvents.
50. The reaction of iodine and thiosulfate ion in aqueous solution produces: (A) iodate ion (B) iodide ion (C) sulfur (D) persulfate ion (E) no reaction