所屬科目:教甄◆物理科專業
1. 不計空氣阻力,試問此質點歷時多久落在斜面上?重力加速度g。(A)(B)(C)(D)
2. 承上題,質點落在斜面時離地面高度為何? (A)(B)(C)(D)
3. 若兩木塊均靜止不動,關於木塊 2 與地面間摩擦力的敘述下列何者正確? 重力加速度gg,並忽略木塊的大小。 (A) 大小為,向左 (B) 大小為,向右 (C) 大小為F,向左 (D) 大小為,向右
4. 承上題,若兩木塊一起移動以加速度a向右運動,但兩者之間無相對運動,則下列敘述何者有誤? (A)(B)(C)(D)
5. 若兩球皆因阻力而最後分別達到終端速率,則 =? (A) 2 (B)(C)e2(D)
6. 承上題,當質量 1 kg 的小球速率為時,質量為 2 kg 的小球速率為何? (A)(B)(C)(D)
7. 若將質點沿彈簧方向壓 縮 L,靜止釋放而開始來回振動,試問振動週期為何? (A)(B)(C)(D)
8. 承上題,若當質點通過平衡點的瞬間,其中一條彈簧斷掉了(此意外不影響質點持續振動), 則之後的振動振幅為何? (A) L (B) √2L (C) 2L (D) 2√2L
9. 質點 1 在水平地面上以初速v0、與地面夾角θ1斜抛,落地時水平位移為 R,飛行時間T1。另 一質點 2 以相同初速v0、不同的拋射角θ2斜抛,落地時的水平位移亦為 R,則質點 2 的飛行 時間為何?重力加速度g。 (A)(B)(C)(D)
10. 試問 =? (A) (Rω, 0) (B) (0,2Rω) (C) (Rω, 2Rω) (D) (Rω, Rω)
11. 承上題,輪子上的 P 點速率為何? (A) Rω (B) √2Rω (C) √3Rω (D) 2Rω
12. 一炮彈自地面斜向發射,在 2 秒後至最高點,離地面 h,並爆炸成質量 1:2 的兩塊碎片,質 量較小的碎片於爆炸後 1 秒在爆炸點的正下方落地。當質量較小碎片落地瞬間,質量較大的 碎片離地面的高度為何? (A)(B)(C)(D)
13. 若物體於地球表面繞地球做等速率圓周運動的速率為??1,而物體由地表出發脫離地球引力所需的最小速率為v2,則v1: v2為何? (A) 1: 1 (B) 1: 2 (C) 2: √2 (D) 1: √2
14. 當彈簧被壓縮至最大壓縮量時,內有子彈的木塊之速率為何? (A)(B)(C)(D)v
15. 承上題,彈簧壓縮的最大壓縮量為何? (A)(B)(C)(D)
16. 一質量為 M 的質點,速度,與另一質量為 m、速度 −的質點發生彈性撞撞,則碰撞後 M 與 m 之系統質心的速率為何。 (A)v(B)(C)(D)
17. 承上題,若M = 5m,則質點 M 的最大散射角(與原行進方向的夾角)為何? (A) 30° (B) 45° (C) 60° (D) 90°
18. 一質量 M、長為 L 的梯子斜放於光滑牆壁與地面轉角處,與地面夾角為 45°,如圖所示,梯 子與地面的靜磨擦係數為。今有一質量為 3M 的人站在離梯子底部 d 的地方,若梯子仍保持不動,則 d 最大值為何? (A)(B)(C)(D)
19. 一室溫(25 oC)的密閉容器內有壓力為 1 atm 的氫氣,則容器中的氫氣密度(kg/m3)為何? 氫氣可視為理想氣體,理想氣體常數 R = 8.31 ,1 atm =1.01 × 105 N/m2。 (A) (B) (C) (D)
20. 一定量的理想氣體,在溫度不變情況下,由原本壓力 1 atm、體積為 2 m3,後來變成壓力 2 atm、體積為 1 m3。試問過程中,氣體對外界做功多少焦耳? (A) −2 × 105 (B) −2√2 × 105 (C) − ln 2 × 105 (D) −(2 ln 2) × 105
21. 試問此繩波的波長? (A) 1 m (B) 2 m (C) 4 m (D) 8 m
22. 承上題,波速為? (A) 10 m/s (B) 20 m/s (C) 40 m/s (D) 80 m/s
23. 一物體置折射率為n、深度為ℎ的液體中,某人於液面上方看此物體,會覺得此物體的深度(視 深)為何? (A) ℎ(B)(C)nh(D)
24. 有一波長為??的光,以幾近垂直入射空氣中一折射率為 n 的均勻透明薄膜,若改變薄膜厚度, 將可觀察到反射光有強弱的變化,試問薄膜厚度下列何者,可看到強度極大的反射光? (A)(B)(C)(D)
25. 一長為 2L 的均勻帶電直線,總電量為 Q。則與此帶電直線中點垂直距離為 d 處的電場強度 為何?真空電容率為ε0。 (A)(B)(C)(D)
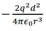
26. 若r ≫ d,試問此排列的電位能可近似為 何? (A)(B)(C)(D)
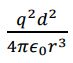
27. 承上題,若r ≫ d,A 處的兩電荷系統對於 B 處兩電荷系統的總作用力量值可近似為何? (A)(B)(C)(D)
28. 試求距球心r,且r < ??的電場量值? (A)0(B)(C)(D)
29. 承上題,試求距球心r,且2?? > r > ??的電場量值? (A)0(B)(C)(D)
30. 承上題,試求距球心r,且r > 2??的電場量值? (A)0(B)(C)(D)
31. 空間中有兩互相平行的等電位面 V1 和 V2,一帶電量 Q、質量為 m 的點電荷通過 V1 時,速度為??、夾角 30o,側視圖如圖所示,若此 點電荷恰可抵達 V2,但無法穿過,試問當點電荷恰抵達等電位面 V2 時,其速率為何?不考慮重力。 (A)0(B)(C)(D)
32. 載流線圈半徑為 r、電流為 I,則線圈通過圓心軸線上,距圓心距離 z 處的磁場大小為何? (A)(B)(C)(D)
33. 試問圓柱 體內部的磁場強度為何?真空磁導率??0。 (A)(B)(C)(D)
34. 承上題,沿著圓柱體圓周產生的電動勢量值為何? (A) (B) (C) (D)
35. 下列關於基本作用力何者敘述錯誤? (A) 原子內的電子受到來自原子核的電磁力 (B) 原子內的電子受到來自原子核的強力 (C) 中子的β衰變是因為弱力 (D) 弱力作用過程也必須滿足動量守恆
36. 根據波爾模型,氫原子能階 En = − 13.6 n2 eV。已知緲子(muon, ??−)是基本粒子之一,其質量 為電子的 200 倍,與電子帶相同電量。若將氫原子中的電子以緲子代替,形成所謂的緲子氫 原子(muonic hydrogen)。試問此緲子氫原子由第一激發態回到基態時,所放出光子的能量? (A) 1020 eV (B) 2040 eV (C) 3060 eV (D) 4080 eV
37. 若以波長為??的光照射某未知金屬,得到光電子的初動能為 40 eV,換成波長為2??的光,則得 到光電子的初動能為 10 eV。試問若換4??的光,則光電子的初動能為何? (A)5 (B) 2.5 eV (C) 1 eV (D) 0
38. 已知一個電子的靜止質量是 0.5 MeV/c2。試問,一個速率為 0.1c 向右運動的電子,其中 c 為 光速,與一個具相同速率,但方向相反的正電子正面碰撞,只產生一個光子,試問此一光子 的能量為何? (A) 1 MeV (B) 1.1 MeV (C) 1.4 Mev (D) 此現象不會發生
39. 如圖所示,??1 = ??2 = ??3 = ??4 = ??5 = 1 Ω,VV1 = 2 V,VV2 = 1 V,則通過??5 的電流大小為 多少安培? (A) (B) (C) (D)
40. 碳-14(14C) 為碳-12 (12C)的放射性同位素,其半衰期約為 5700 年。若假設生物存活時,體 內的 14C 與 12C 的量維持一常數比,為 1:2。今發現某一生物遺骸中 12C 的量為 14C 的 64 倍, 則可推測此生物生存的年代至今約幾年? (A) 34200 (B) 28500 (C) 22800 (D) 17100