所屬科目:土壤力學與基礎工程(設計)
(一)該土層需歷時多久,可達到 90%之平均壓密度?
(二)若該土層之主要壓密沉陷量為 20 cm,則需多少時間,該土層可達 9 cm 之沉陷量?
二、針對一黏土進行三軸等向壓密不排水試驗,試驗結果如下:
另有試體三(同一黏土)做三軸等向壓密排水試驗,壓密時的圍壓為等向200kN/m2,請計算破壞時的△σ。
三、請評估圖中所示之重力式擋土牆抗滑動之安全係數。
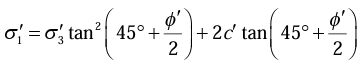
附註:地表呈水平,牆背面垂直,可不考慮牆面摩擦,主動土壓力係數可用:
四、一均布荷重 200 kPa 透過 T 形鐵板作用在地面,如下圖所示。請估算在 A 點下方 40 m 處所受之應力增量。