所屬科目:計算機數學
一、試求方程式 x+y+z+w=12 之正整數解之個數。 (5 分)
二、從 1, 2, 3, 4, 5 中選出 2 個數字組成一個 2 位數,可以重複選,但這 2 個數字必須不同的機率是多少?(5 分)
三、請證明集合{1, 2, …, 2n}中任選 n+1 個數,必有兩個數 a, b(令 a>b), 使得 a=kb,k 為整數。(10 分)
四、假設某一服飾店經過長期觀察後,每天的顧客數 Y 為一期望值(E)等於 20 且標準差(Std)為 2 的隨機變數,但其機率分布未知,試求該服 飾店明日的顧客數大於 16 且小於 24 的機率為何?(10 分)
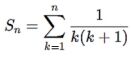
五、令請找出Sn的近似值,並證明它小於某個常數。(10 分)
六、假設某種細菌的繁殖率是每小時 5 倍遞增,如果 6 小時之後已達 900000 隻細菌,則請問最初應是有多少隻細菌(小數無條件進位)?(10 分)
七、將 20 顆相同的球分配到 5 個相異的箱子中,每個箱子至少有 2 顆球但不超過 7 個,請推算共有幾種分配方式。(10 分)
(一)( A∪B)'
(二)(A∩B )'
九、已知某知名連鎖商店,每月平均營業金額為 800 萬/每一門市,標準差為 150 萬。若其中某門市上個月的業績僅達 520 萬,請問該門市的 Z-score 是多少?(10 分)
十、請運用 Floyd–Warshall 演算法解以下有向圖之任二點最短路徑。 (20 分)